Posledná aktualizácia :
27/04/2026
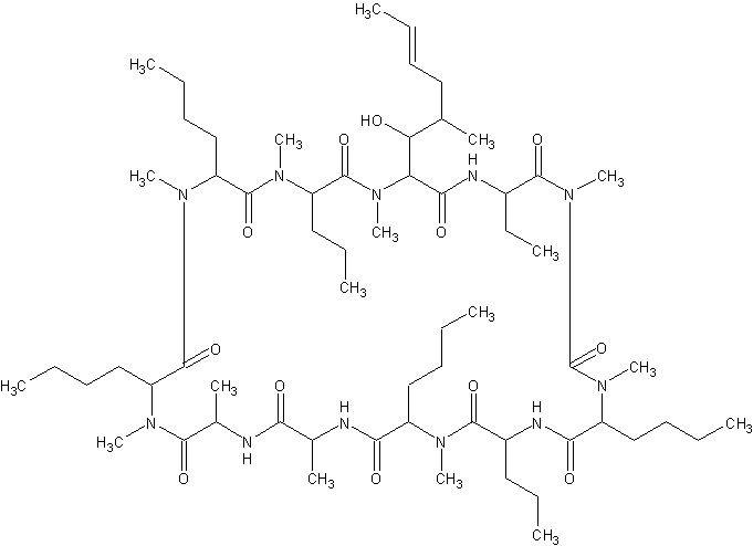
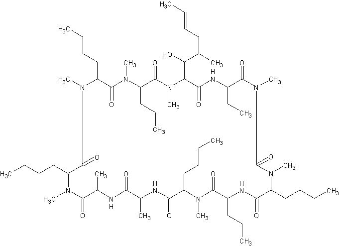
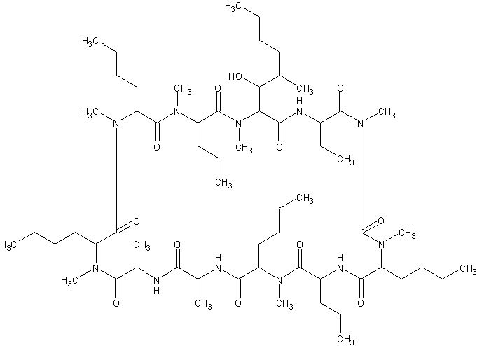
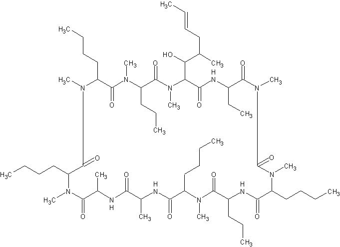
imunosupresívum   Ciclosporin  
Injekcia
Dermálny prípravok Očná instilácia Perorálny roztok
Stabilita roztokov Stabilita v zmesiach Faktory ovplyvňujúce stabilitu Kompatibility spôsob podania Odkazy na literatúru PDF
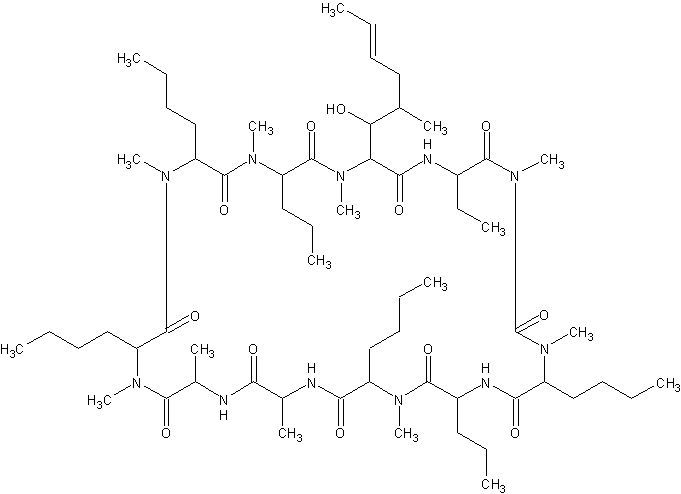
   Chemický vzorec  

Obchodný názov   Obchodný názov     

Obchodné názvy sú orientačné, a zloženie pomocných látok sa môže líšiť v závislosti od krajiny a výrobcu.

Cyclosporine Kanada, Spojené štáty Americké
Graftin India
Sandimmum Argentína, Austrália, Belgicko, Čile, Dánsko, Fínsko, Grécko, Irán, Írsko, Island, Kolumbia, Luxembursko, Maďarsko, Malajzia, Maroko, Mexiko, Nemecko, Nórsko, nový Zéland, peru, Poľsko, Portugalsko, Rakúsko, Saudská Arábia, Španielsko, Spojené arabské emiráty, Švajčiarsko, Švédsko, Taliansko, Tunisko, Turecko, Veľká Británia
Stabilita roztokov   Injekcia   Stabilita roztokov : Ciclosporin     
obal rozpúšťadlo koncentrácia teplota uchovávanie Trvanie stability odkazy na lieteratúru
Sklo 0,9% chlorid sodný 2 mg/ml 24°C Za svetla alebo chránené pred svetlom
12 hodín
454
Úroveň dôkazov D

Sklo 5% glukóza 2 mg/ml 24°C Za svetla
48 hodín
471
Úroveň dôkazov D

Sklo 5% glukóza 2 mg/ml 24°C Za svetla alebo chránené pred svetlom
24 hodín
454
Úroveň dôkazov D

Sklo 5% glukóza 2 mg/ml 6°C Chránené pred svetlom
48 hodín
471
Úroveň dôkazov D

polyolefín 0,9% chlorid sodný 0,2 mg/ml 23-27°C nešpecifikované
14 dní
3229
Úroveň dôkazov A+

polyolefín 0,9% chlorid sodný 2,5 mg/ml 23-27°C nešpecifikované
14 dní
3229
Úroveň dôkazov A+

polyolefín 5% glukóza 0,2 mg/ml 23-27°C nešpecifikované
14 dní
3229
Úroveň dôkazov A+

polyolefín 5% glukóza 2,5 mg/ml 23-27°C nešpecifikované
14 dní
3229
Úroveň dôkazov A+

etylénvinylacetát 0,9% chlorid sodný 0,2 mg/ml 25°C nešpecifikované
7 dní
3476
Úroveň dôkazov B+

etylénvinylacetát 0,9% chlorid sodný 2,5 mg/ml 25°C nešpecifikované
14 dní
3476
Úroveň dôkazov B+

etylénvinylacetát 5% glukóza 0,2 mg/ml 25°C nešpecifikované
7 dní
3476
Úroveň dôkazov B+

etylénvinylacetát 5% glukóza 2,5 mg/ml 25°C nešpecifikované
14 dní
3476
Úroveň dôkazov B+


  Mentions Légales