Última actualização :
27/04/2026
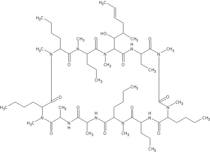
Inmunosupressor   Ciclosporin  
injetável
Pomadas solução oftálmica Solução Oral
Estabilidade em soluções simples Estabilidade em misturas Factores que afectam a sua estabilidade Compatibilidade Método de administração Bibliografía pdf
   estrutura química  

Nomes comerciais nos diversos países   Nomes comerciais nos diversos países     

OS NOMES COMERCIAIS SÃO INDICATIVOS E OS EXCIPIENTES DA FORMULAÇÃO PODEM SER DIFERENTES CONFORME O PAÍS E FABRICANTE.

Cyclosporine Canadá, Estados Unidos de América
Graftin Índia
Sandimmum Alemanha, Arábia Saudita, Argentina, Australia, Austria, Bélgica, Chilli, Colômbia, Dinamarca, Emirados Árabes Unidos, Espanha, Finlandia, Gran-bretanha, Grècia, Hungria, Irã, Irlanda, Islandia, Itália, Luxemburgo, Malásia, Marrocos, México, Noruega, nova Zelândia, Peru, Polonia, Portugal, Suècia, Suicia, Tunísia, Turquia
Estabilidade em soluções simples   injetável   Estabilidade em soluções simples : Ciclosporin     
Embalagem Solvente concentração temperatura conservação Duração da estabilidade Bibliografia
vidro cloreto de sódio 0,9% 2 mg/ml 24°C Com ou sem luz
12 hora
454
Nível de evidência D

vidro Glucose 5% 2 mg/ml 24°C luz
48 hora
471
Nível de evidência D

vidro Glucose 5% 2 mg/ml 24°C Com ou sem luz
24 hora
454
Nível de evidência D

vidro Glucose 5% 2 mg/ml 6°C ao abrigo da luz
48 hora
471
Nível de evidência D

Poliolefina cloreto de sódio 0,9% 0,2 mg/ml 23-27°C no especificado
14 dia
3229
Nível de evidência A+

Poliolefina cloreto de sódio 0,9% 2,5 mg/ml 23-27°C no especificado
14 dia
3229
Nível de evidência A+

Poliolefina Glucose 5% 0,2 mg/ml 23-27°C no especificado
14 dia
3229
Nível de evidência A+

Poliolefina Glucose 5% 2,5 mg/ml 23-27°C no especificado
14 dia
3229
Nível de evidência A+

Etil-vinil-acetato cloreto de sódio 0,9% 0,2 mg/ml 25°C no especificado
7 dia
3476
Nível de evidência B+

Etil-vinil-acetato cloreto de sódio 0,9% 2,5 mg/ml 25°C no especificado
14 dia
3476
Nível de evidência B+

Etil-vinil-acetato Glucose 5% 0,2 mg/ml 25°C no especificado
7 dia
3476
Nível de evidência B+

Etil-vinil-acetato Glucose 5% 2,5 mg/ml 25°C no especificado
14 dia
3476
Nível de evidência B+


  Mentions Légales