Senaste uppdateringen :
27/11/2025
Diuretikum   Spironolactone  
Salvor
Oral lösning
Stabilitet av läkemedel Stabilitet i blandningar Faktorer som påverkar stabiliteten Kompatibilitet Hänvisningar pdf
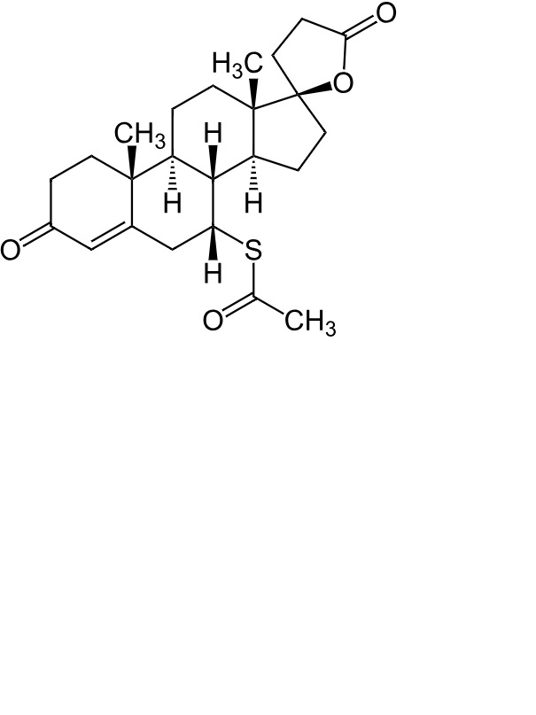
   Molekylstruktur  

Salvor
Stabilitet av läkemedel   Salvor   Stabilitet av läkemedel : Spironolactone     
Behållare Origine Hjälpämne Temperatur Förvaring Stabilitets varaktighet Hänvisningar
Glas Pulver 1 g
® = ?
Cremophor RH 40 6 g
TrichoSol® >> 100 ml
25°C Skyddas från ljus
120 Dag
4921

  Mentions Légales