Posledná aktualizácia :
18/03/2026
Infostab
Zoznam zlúčenín
Sumárne zoznamy
Vyhľadávanie kompatibilít
Tabuľka kompatibilít pre inf. spojku Y
Odkazy na literatúru
výskumné tímy
valistab
Poster
Pripojenie
sponzori
Autori
Príručka používateľa
Newsletter
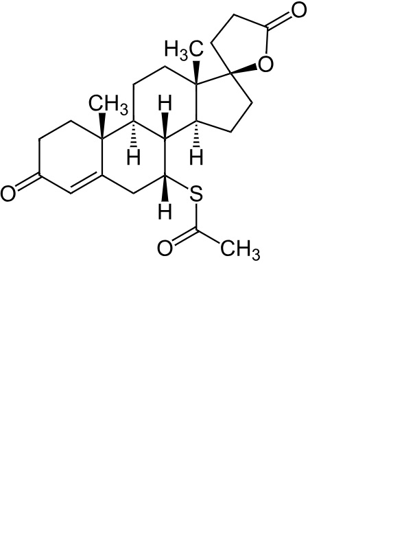
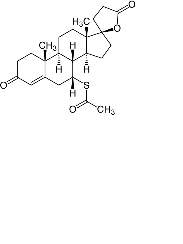
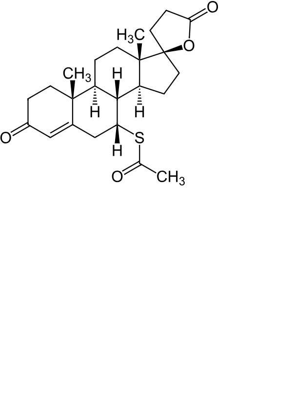
Spironolactone
Chemický vzorec
Odkazy na literatúru : Spironolactone
Typ
Publikácia
4921
Časopis
Schettino C, Marianni B, Polonini H.
Compatibility of 17-a-estradiol, Caffeine, Clobetasol Propionate, Finasteride, Melatonin, Metronidazole, Spironolactone, Tretinoin, and Triamcinolone in Trichosol, a Natural Vehicle for Hair Solutions.
Int J Pharm Compound 2025 ;29,1:64-76
Mentions Légales