Utolsó frissítés :
27/11/2025
Vizelethajtó   Spironolactone  
kenőcs
belsőleges oldat
Stabilitása gyógyszerészeti készítmények A keverékek stabilitása Stabilitást befolyásoló tényezők Kompatibilitás Irodalom pdf
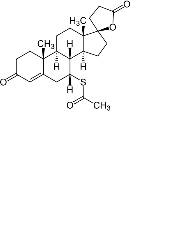
   Kémiai szerkezet   

kenőcs
Stabilitása gyógyszerészeti készítmények   kenőcs   Stabilitása gyógyszerészeti készítmények : Spironolactone     
Csomagolás Origine segédanyag Hőmérséklet Tárolás A stabilitás időtartama Irodalom
Üveg por 1 g
® = ?
Cremophor RH 40 6 g
TrichoSol® >> 100 ml
25°C Fénytől védve tartandó
120 Nap
4921

  Mentions Légales