最新更新 :
27/04/2026
利尿薬   Spironolactone  
軟膏薬
経口液
調剤時の安定性 混合時の安定性 安定性に影響する因子 互換性 引用文献 PDF
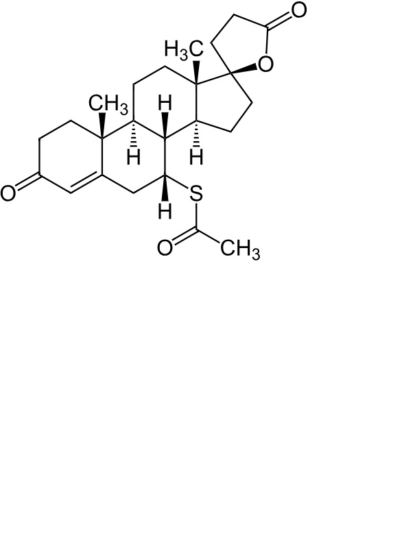
   化学構造  

軟膏薬
調剤時の安定性   軟膏薬   調剤時の安定性 : Spironolactone     
容器 Origine 添加剤 温度 保管 安定期間 引用文献
ガラス 粉 1 g
® = ?
Cremophor RH 40 6 g
TrichoSol® >> 100 ml
25°C 遮光
120 日
4921

  Mentions Légales