Ultimo aggiornamento :
27/01/2026
Diuretico   Spironolactone  
Unguenti
Soluzione orale
Stabilità dei preparati farmaceutici Stabilità in miscela Fattori che influenzano la stabilità Compatibilità Bibliografia pdf
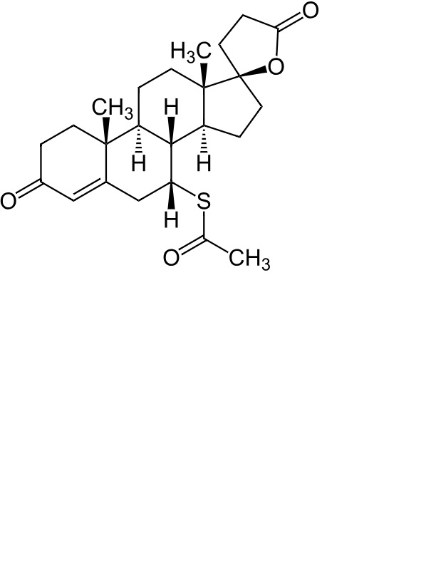
   Struttura chimica  

Unguenti
Stabilità dei preparati farmaceutici   Unguenti   Stabilità dei preparati farmaceutici : Spironolactone     
contenitore Origine eccipiente Temperatura Conservazione Durata della stabilità Bibliografia
Vetro polvere 1 g
® = ?
Cremophor RH 40 6 g
TrichoSol® >> 100 ml
25°C Al riparo dalla luce
120 Giorno
4921

  Mentions Légales