Letztes “update” :
27/01/2026
Diuretikum   Spironolactone  
Salben
Lösung zum Einnehmen
Stabilität von pharmazeutischen Präparaten Gemengestabilität Stabilitätbeeinflussende Faktoren Kompatibilitäten Literaturverzeichnis pdf
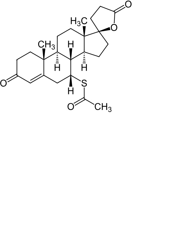
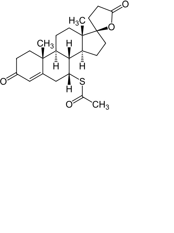
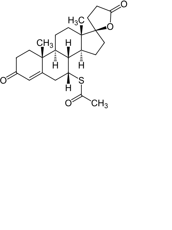
   Chemische Struktur  

Salben
Stabilität von pharmazeutischen Präparaten   Salben   Stabilität von pharmazeutischen Präparaten : Spironolactone     
Behälter Origine Hilfsstoff Temperatur Konservierung Dauer der Stabilität Literaturverzeichnis
Glas Pulver 1 g
® = ?
Cremophor RH 40 6 g
TrichoSol® >> 100 ml
25°C Ohne Licht
120 Tag
4921

  Mentions Légales