Ostatnia aktualizacja :
27/11/2025
Diuretyk   Spironolactone  
Maści
Roztwór doustny
Stabilność preparatów farmaceutycznych Trwałość w mieszaninie Czynnik wpływający na trwałość Zgodność Bibliografia pdf
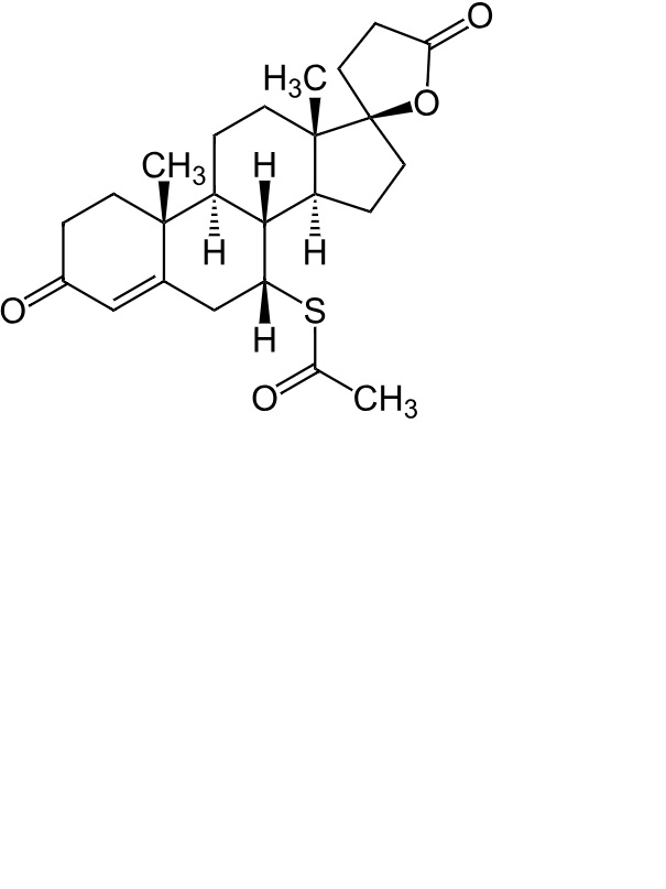
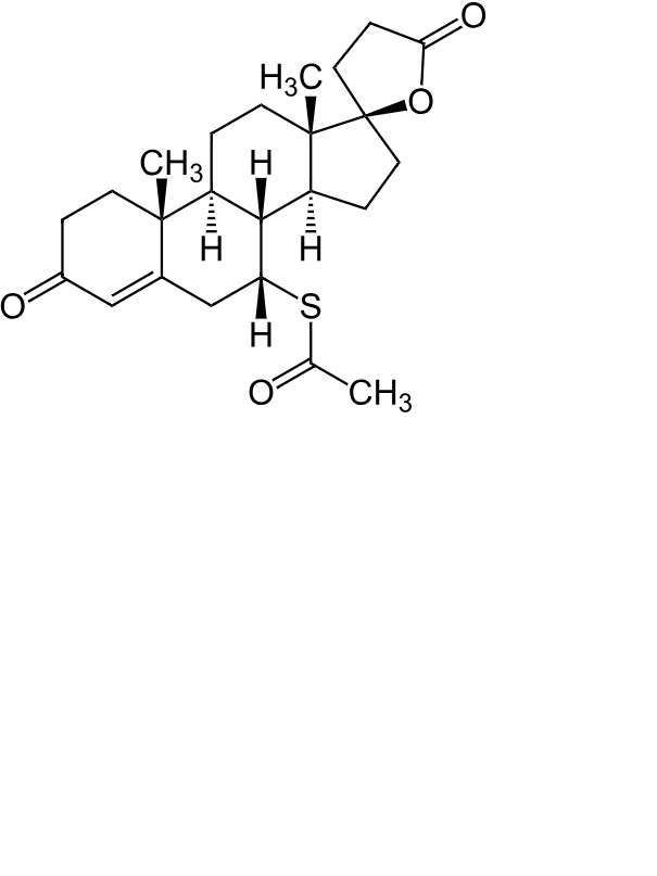
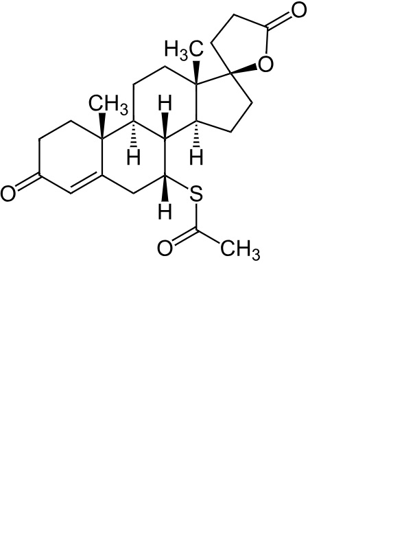
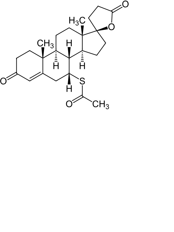
   Struktura chemiczna  

Maści
Stabilność preparatów farmaceutycznych   Maści   Stabilność preparatów farmaceutycznych : Spironolactone     
Pojemnik Origine Substancja pomocniczna Temperatura Przechowywanie Czas trwania stabilności Bibliografia
Szkło Proszek 1 g
® = ?
Cremophor RH 40 6 g
TrichoSol® >> 100 ml
25°C Chronić od światła
120 Dzień
4921

  Mentions Légales