Pēdējā atjaunošana :
27/04/2026
Diurētiķis   Spironolactone  
Ziedes
Orāls šķīdums
Stabilitāte farmaceitisko preparātu Maisījuma stabilitāte Stabilitāti ietekmējoši faktori Saderība Literatūras saraksts pdf
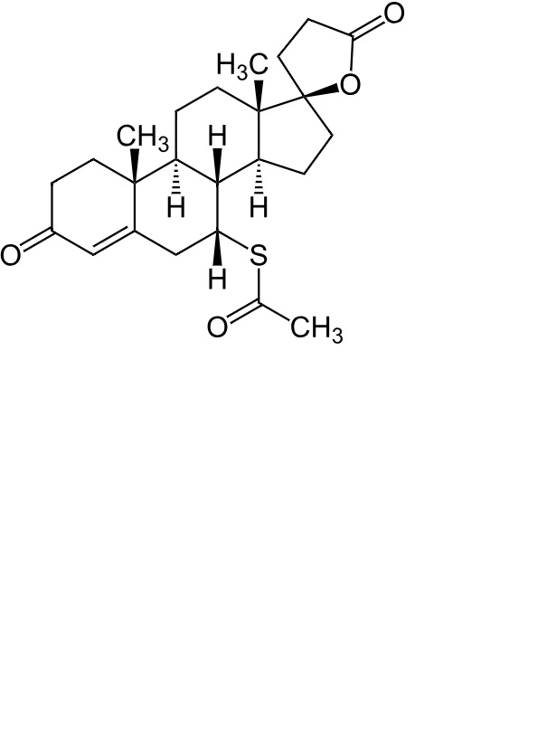
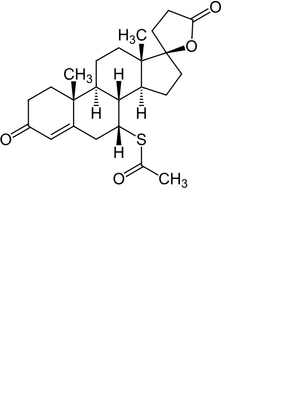
   Ķīmiskā uzbūve   

Ziedes
Stabilitāte farmaceitisko preparātu   Ziedes   Stabilitāte farmaceitisko preparātu : Spironolactone     
Iepakojums Origine Palīgviela Temperatūra Glabāšana Stabilitātes ilgums Literatūras saraksts
Stikls Pūderis 1 g
® = ?
Cremophor RH 40 6 g
TrichoSol® >> 100 ml
25°C Aizsargāt no gaismas
120 Diena
4921

  Mentions Légales