Última actualização :
27/01/2026
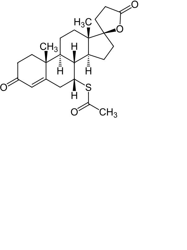
diurético   Spironolactone  
Pomadas
Solução Oral
Estabilidade de preparações farmacêuticas Estabilidade em misturas Factores que afectam a sua estabilidade Compatibilidade Bibliografía pdf
   estrutura química  

Pomadas
Estabilidade de preparações farmacêuticas   Pomadas   Estabilidade de preparações farmacêuticas : Spironolactone     
Embalagem Origine excipiente temperatura conservação Duração da estabilidade Bibliografia
vidro pó 1 g
® = ?
Cremophor RH 40 6 g
TrichoSol® >> 100 ml
25°C ao abrigo da luz
120 dia
4921

  Mentions Légales