Poslední aktualizace :
27/11/2025
Diuretikum   Spironolactone  
Masti
Perorální roztok
Stabilita farmaceutických přípravků Stabilita směsí Faktory ovlivňující stabilitu Kompatibilita Odkazy pdf
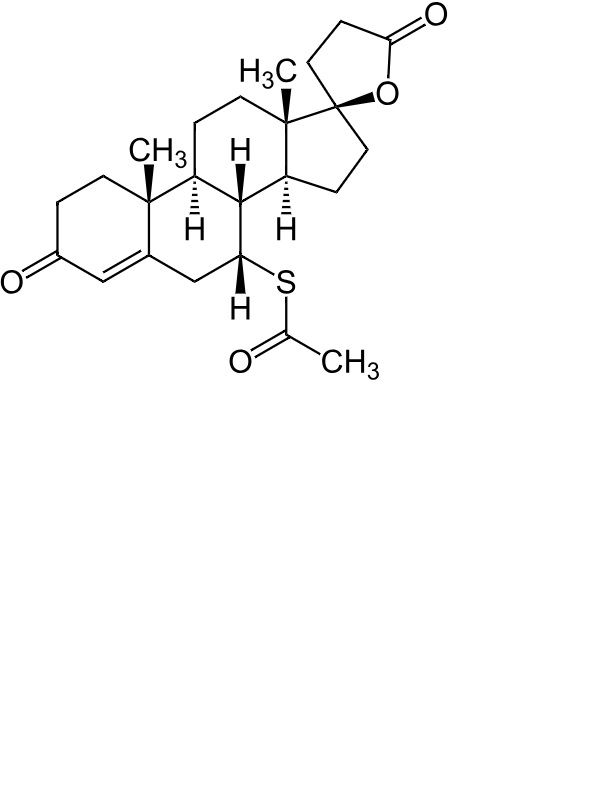
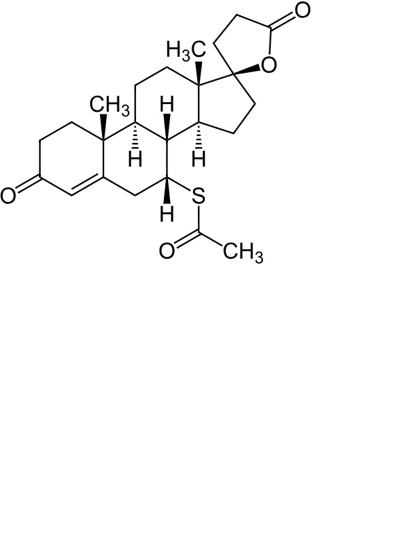
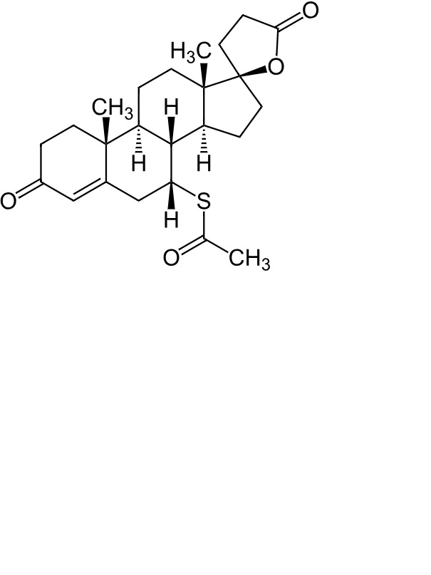
   Chemický vzorec  

Masti
Stabilita farmaceutických přípravků   Masti   Stabilita farmaceutických přípravků : Spironolactone     
Obal Origine Pomocné látky Teplota Uchovávání Trvání stability Odkazy
Sklo prášek 1 g
® = ?
Cremophor RH 40 6 g
TrichoSol® >> 100 ml
25°C Chráněno před světlem
120 Den
4921

  Mentions Légales