viimane versioon :
27/11/2025
diureetikum   Spironolactone  
salv
suukaudne lahus
Stabiilsust ravimpreparaadid Stabiilsust mõjutavad tegurid stabiilsust mõjutavad faktorid Sobimatus Viited pdf
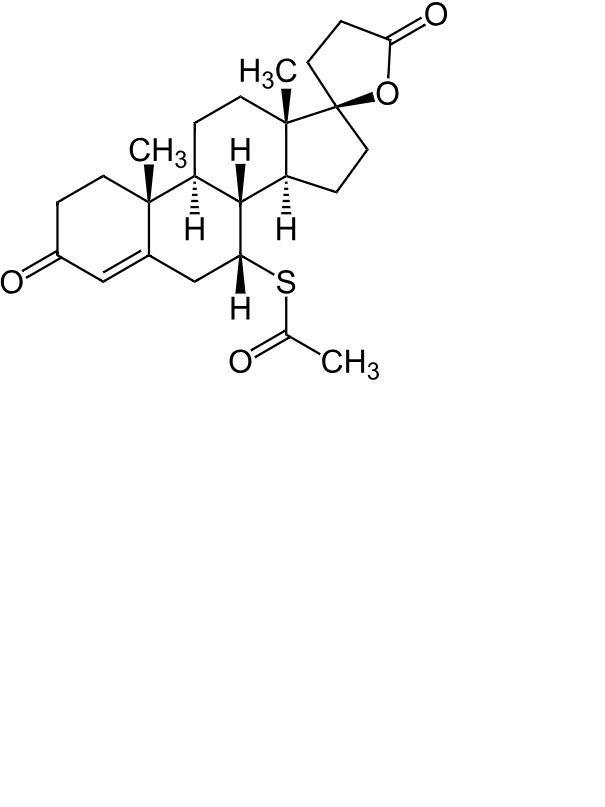
   keemiline struktuur  

salv
Stabiilsust ravimpreparaadid   salv   Stabiilsust ravimpreparaadid : Spironolactone     
konteiner Origine  abiaine temperatuur ladustamine Stabiilsuse kestus Viited
klaas pulber 1 g
® = ?
Cremophor RH 40 6 g
TrichoSol® >> 100 ml
25°C kaitsta valguse eest
120 päev
4921

  Mentions Légales