Cập nhật lần cuối :
27/01/2026
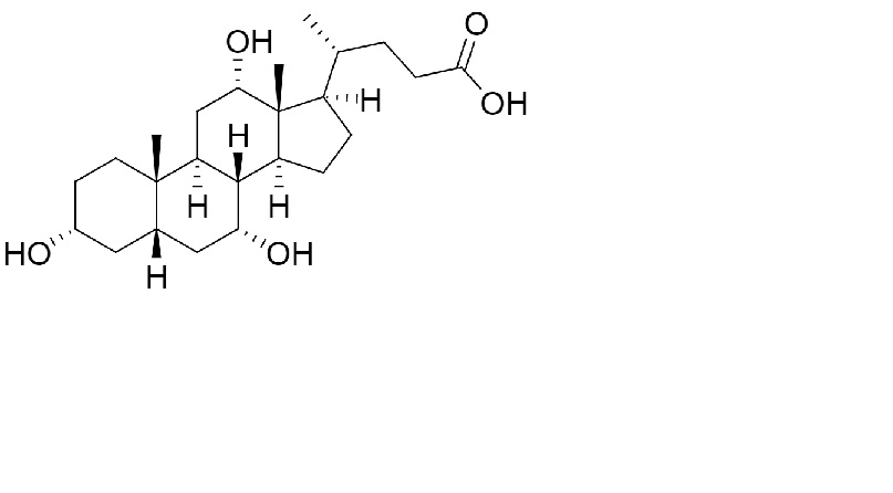
Khác   Cholic acid  
Viên nang
Tính ổn định của các chế phẩm Độ ổn định khi trộn lẫn Những yếu tố ảnh hưởng đến độ ổn định Khả năng tương thích Tài liệu tham khảo Pdf
   Cấu trúc hóa học  

Viên nang

Những yếu tố ảnh hưởng đến độ ổn định   Viên nang   Những yếu tố ảnh hưởng đến độ ổn định : Cholic acid        
Không có dữ liệu

  Mentions Légales