Zadnji put ažurirano :
27/01/2026
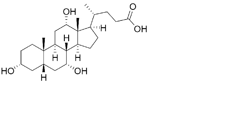
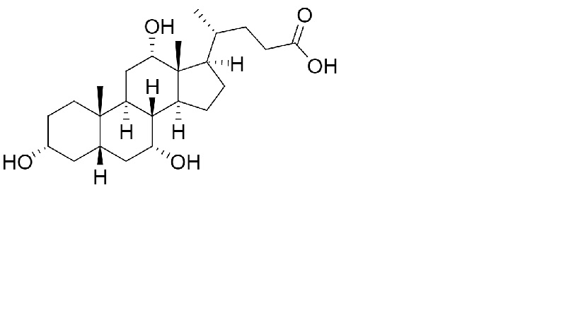
razno   Cholic acid  
kapsula
Stabilnost farmaceutskih pripravaka Stabilnost mješavine Stabilizacijski faktor Kompatibilnosti Bibliografija pdf
   Kemijska struktura  

kapsula

Stabilizacijski faktor   kapsula   Stabilizacijski faktor : Cholic acid        
bez podataka

  Mentions Légales