Last update :
27/01/2026
Various   Cholic acid  
Capsule
Stability of pharmaceutical preparations Stability of mixtures Factors which affect stability Compatibility References pdf
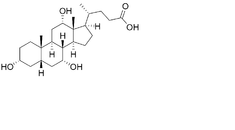
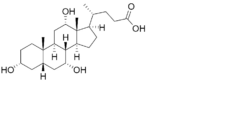
   Chemical structure  

Capsule

Factors which affect stability   Capsule   Factors which affect stability : Cholic acid        
No data

  Mentions Légales