Última actualización :
27/01/2026
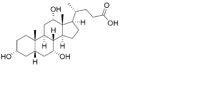
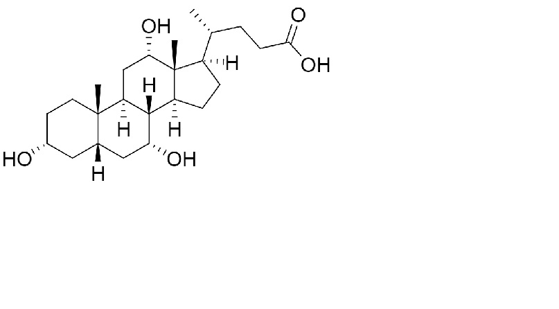
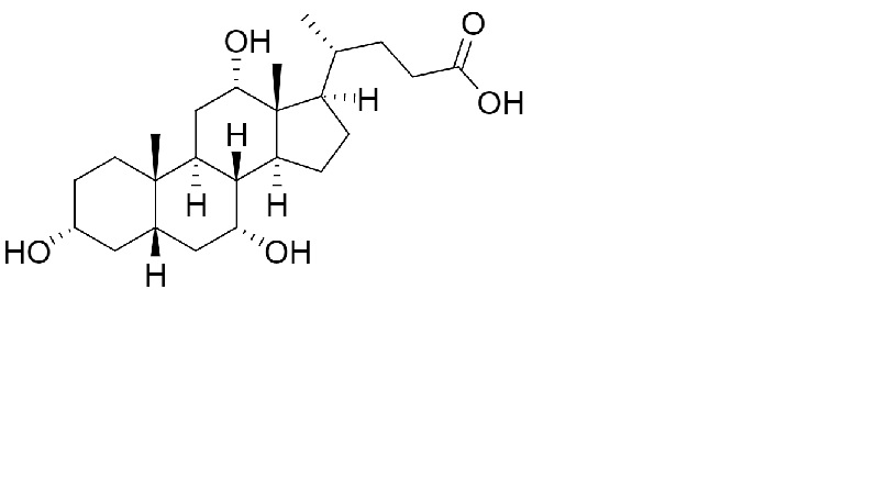
Varios   Cholic acid  
Cápsula
La estabilidad de las preparaciones farmacéuticas Estabilidad en mezcla Factores que influyen sobre la estabilidad Compatibilidades Bibliografía pdf
   Estructura química  

Cápsula

Factores que influyen sobre la estabilidad   Cápsula   Factores que influyen sobre la estabilidad : Cholic acid        
Ausencia de datos

  Mentions Légales