Poslední aktualizace :
27/01/2026
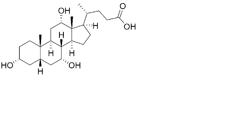
Įvairūs   Cholic acid  
Kapsulė
Stabilumas farmacinių preparatų Mišinių stabilumas Stabilumą lemiantys veiksniai Suderinamumas Bibliografija pdf
   Cheminė sandara  

Kapsulė

Stabilumą lemiantys veiksniai   Kapsulė   Stabilumą lemiantys veiksniai : Cholic acid        
Nėra duomenų

  Mentions Légales