Останнє оновлення :
27/01/2026
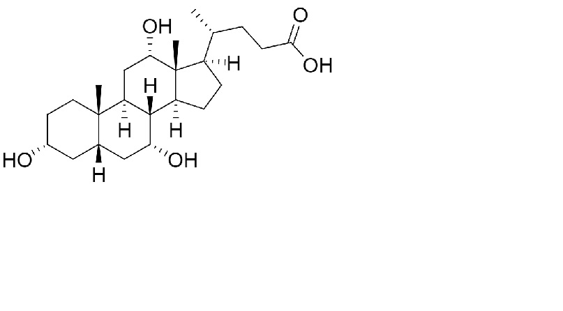
різноманітні   Cholic acid  
капсула
Стабільність фармацевтичних препаратів Стійкість сумішей Фактори, що впливають на стабільність Сумісність Список літератури pdf
   Хімічна структура  

капсула

Фактори, що впливають на стабільність   капсула   Фактори, що впливають на стабільність : Cholic acid        
7 / 5 000 Résultats de traduction Немає даних

  Mentions Légales