Seneste opdatering :
27/01/2026
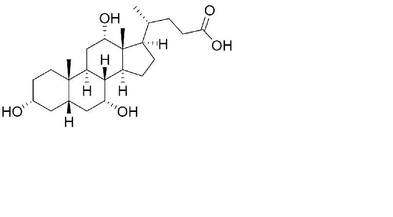
Diverse   Cholic acid  
Kapsel
Stabilitet af farmaceutiske tilberedninger Stabilitet i blandinger Faktorer der påvirker stabiliteten Kompatibilitet Bibliografi pdf
   Kemisk struktur  

Kapsel

Faktorer der påvirker stabiliteten   Kapsel   Faktorer der påvirker stabiliteten : Cholic acid        
Ingen data

  Mentions Légales