Laatste update :
27/01/2026
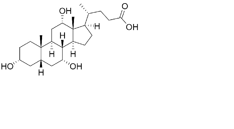
Diverse   Cholic acid  
Capsule
Stabiliteit van farmaceutische preparaten Stabiliteit in mengsels Factoren die de stabiliteit beïnvloeden Verenigbaarheden Literatuur pdf
   Molecuulstructuur  

Capsule

Factoren die de stabiliteit beïnvloeden   Capsule   Factoren die de stabiliteit beïnvloeden : Cholic acid        
geen gegevens

  Mentions Légales