Pēdējā atjaunošana :
27/01/2026
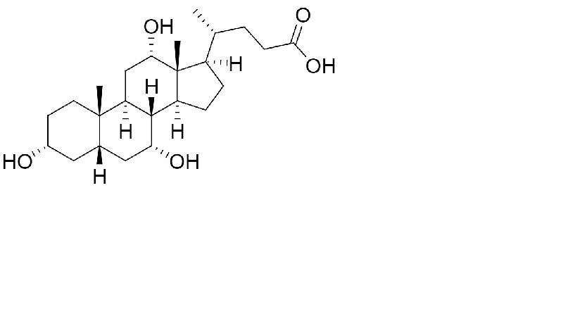
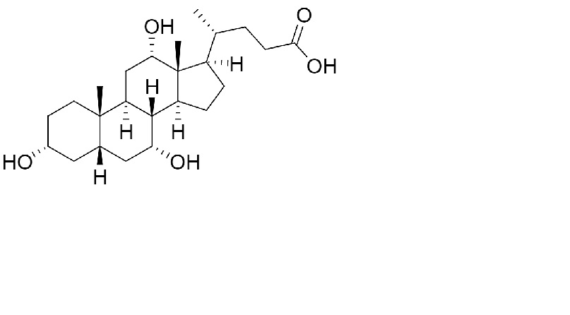
Dažādi   Cholic acid  
Kapsula
Stabilitāte farmaceitisko preparātu Maisījuma stabilitāte Stabilitāti ietekmējoši faktori Saderība Literatūras saraksts pdf
   Ķīmiskā uzbūve   

Kapsula

Stabilitāti ietekmējoši faktori   Kapsula   Stabilitāti ietekmējoši faktori : Cholic acid        
Nav datu

  Mentions Légales