Последно актуализиране :
27/01/2026
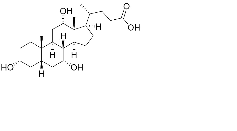
Други   Cholic acid  
Капсула
Стабилност на лекарствени препарати Стабилност на смеси Фактори, повлияващи стабилността Съвместимост Библиография Pdf
   Химична структура  

Капсула

Фактори, повлияващи стабилността   Капсула   Фактори, повлияващи стабилността : Cholic acid        
Няма данни

  Mentions Légales