Ostatnia aktualizacja :
27/01/2026
Różne   Cholic acid  
Kapsułka
Stabilność preparatów farmaceutycznych Trwałość w mieszaninie Czynnik wpływający na trwałość Zgodność Bibliografia pdf
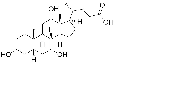
   Struktura chemiczna  

Kapsułka

Czynnik wpływający na trwałość   Kapsułka   Czynnik wpływający na trwałość : Cholic acid        
Brak danych

  Mentions Légales