Utolsó frissítés :
27/01/2026
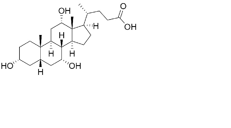
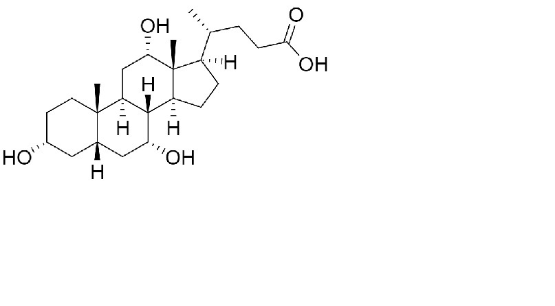
Különféle   Cholic acid  
kapszula
Stabilitása gyógyszerészeti készítmények A keverékek stabilitása Stabilitást befolyásoló tényezők Kompatibilitás Irodalom pdf
   Kémiai szerkezet   

kapszula

Stabilitást befolyásoló tényezők   kapszula   Stabilitást befolyásoló tényezők : Cholic acid        
Hiányzó adat

  Mentions Légales