Cập nhật lần cuối :
21/01/2026
Hormon   Estrone  
Dạng bôi da
Tính ổn định của các chế phẩm Độ ổn định khi trộn lẫn Những yếu tố ảnh hưởng đến độ ổn định Khả năng tương thích Tài liệu tham khảo Pdf
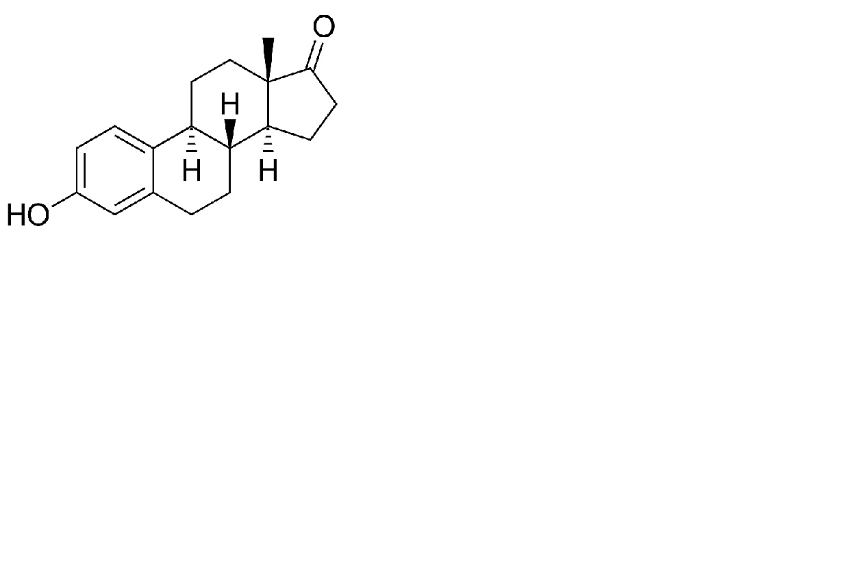
   Cấu trúc hóa học  

Dạng bôi da
Tính ổn định của các chế phẩm   Dạng bôi da   Tính ổn định của các chế phẩm : Estrone     
Bao bì Nguyên bản Tá dược Nhiệt độ Bảo quản Thời gian ổn định Mục lục
Ống thuốc mỡ bằng nhôm Bột 100 mg
® = ?
Ethoxydiglycol 5 g
Phytobase® (Fagron) >>100 g
15-25°C Tránh ánh sáng
180 Ngày
4577

Ống thuốc mỡ bằng nhôm Bột 1 g
® = ?
Ethoxydiglycol 5 g
Phytobase® (Fagron) >>100 g
15-25°C Tránh ánh sáng
180 Ngày
4577


  Mentions Légales