Dernière mise à jour :
21/01/2026
Hormone   Estrone  
Forme dermique
Stabilité des préparations Stabilité en mélange Facteur influençant la stabilité Compatibilités Bibliographie pdf
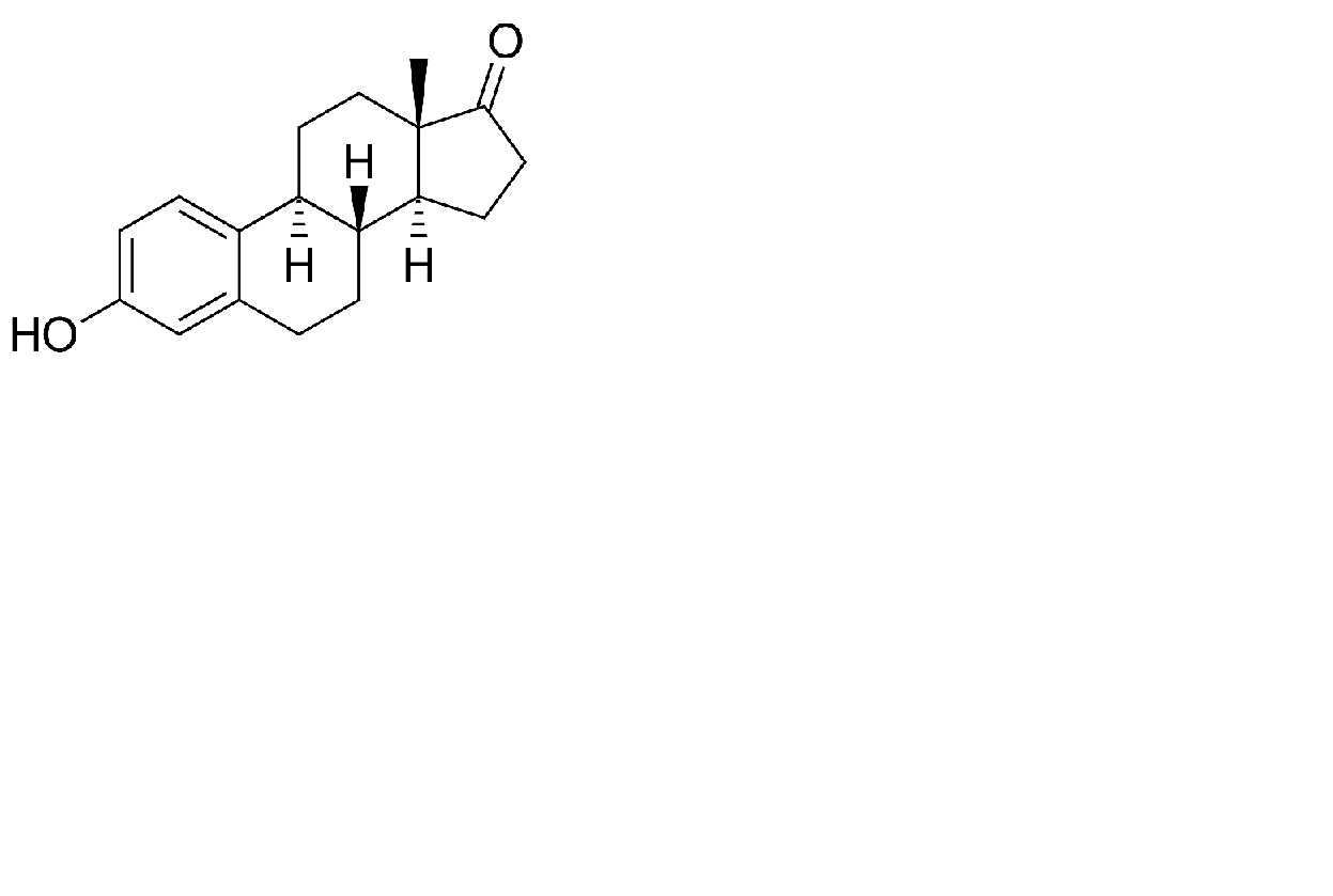
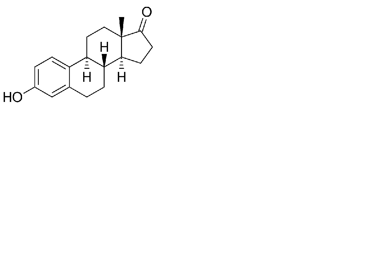
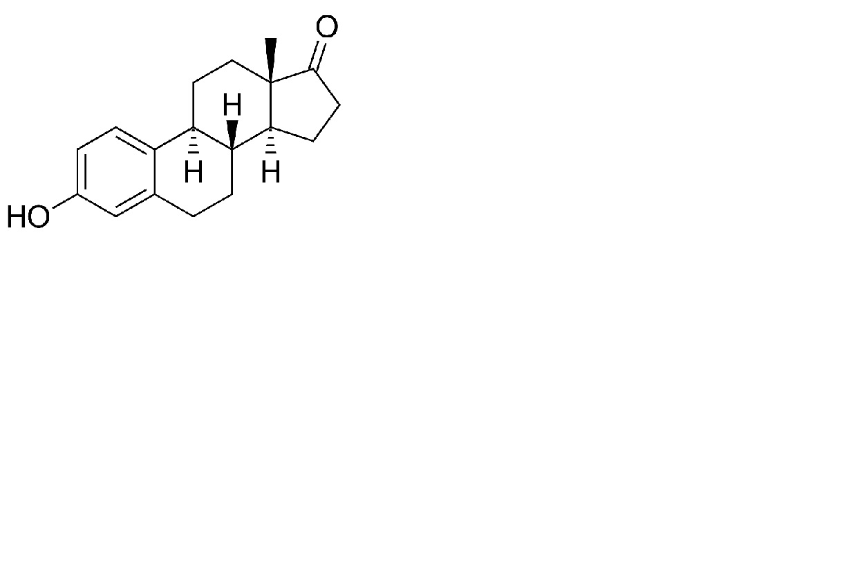
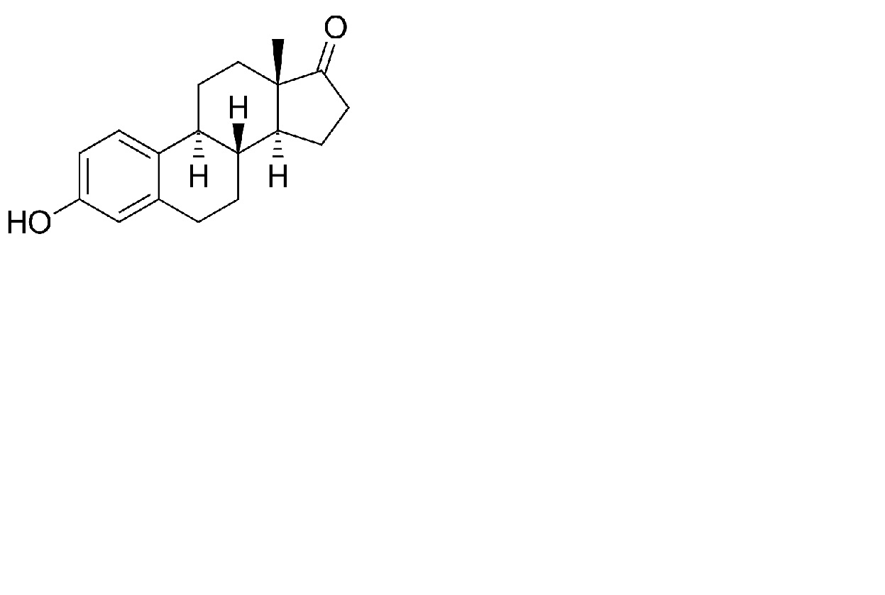
   Structure chimique  

Forme dermique
Stabilité des préparations   Forme dermique   Stabilité des préparations : Estrone     
Contenant Origine Excipient Température Conservation Durée de stabilité Bibliographie
Tube de pommade en aluminium Poudre 100 mg
® = ?
Ethoxydiglycol 5 g
Phytobase® (Fagron) >>100 g
15-25°C A l’abri de la lumière
180 Jour
4577

Tube de pommade en aluminium Poudre 1 g
® = ?
Ethoxydiglycol 5 g
Phytobase® (Fagron) >>100 g
15-25°C A l’abri de la lumière
180 Jour
4577


  Mentions Légales