Pēdējā atjaunošana :
27/04/2026
Hormons   Estrone  
Ziedes
Stabilitāte farmaceitisko preparātu Maisījuma stabilitāte Stabilitāti ietekmējoši faktori Saderība Literatūras saraksts pdf
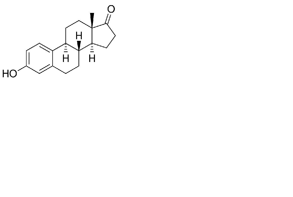
   Ķīmiskā uzbūve   

Ziedes
Stabilitāte farmaceitisko preparātu   Ziedes   Stabilitāte farmaceitisko preparātu : Estrone     
Iepakojums Origine Palīgviela Temperatūra Glabāšana Stabilitātes ilgums Literatūras saraksts
Ziedes tūbiņa (alumīnija) Pūderis 100 mg
® = ?
Etoksidiglikols 5 g
Phytobase® (Fagron) >>100 g
15-25°C Aizsargāt no gaismas
180 Diena
4577

Ziedes tūbiņa (alumīnija) Pūderis 1 g
® = ?
Etoksidiglikols 5 g
Phytobase® (Fagron) >>100 g
15-25°C Aizsargāt no gaismas
180 Diena
4577


  Mentions Légales