Senaste uppdateringen :
21/01/2026
Hormon   Estrone  
Salvor
Stabilitet av läkemedel Stabilitet i blandningar Faktorer som påverkar stabiliteten Kompatibilitet Hänvisningar pdf
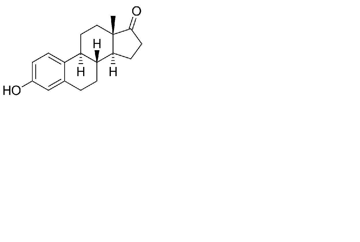
   Molekylstruktur  

Salvor
Stabilitet av läkemedel   Salvor   Stabilitet av läkemedel : Estrone     
Behållare Origine Hjälpämne Temperatur Förvaring Stabilitets varaktighet Hänvisningar
Salvtub (aluminium) Pulver 100 mg
® = ?
Etoxidiglykol 5 g
Phytobase® (Fagron) >>100 g
15-25°C Skyddas från ljus
180 Dag
4577

Salvtub (aluminium) Pulver 1 g
® = ?
Etoxidiglykol 5 g
Phytobase® (Fagron) >>100 g
15-25°C Skyddas från ljus
180 Dag
4577


  Mentions Légales