Utolsó frissítés :
27/04/2026
Hormonnal   Estrone  
kenőcs
Stabilitása gyógyszerészeti készítmények A keverékek stabilitása Stabilitást befolyásoló tényezők Kompatibilitás Irodalom pdf
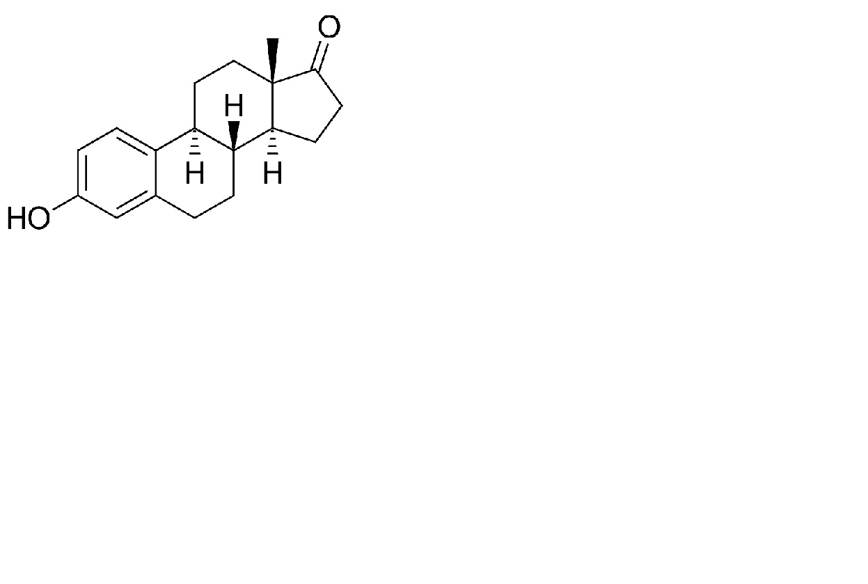
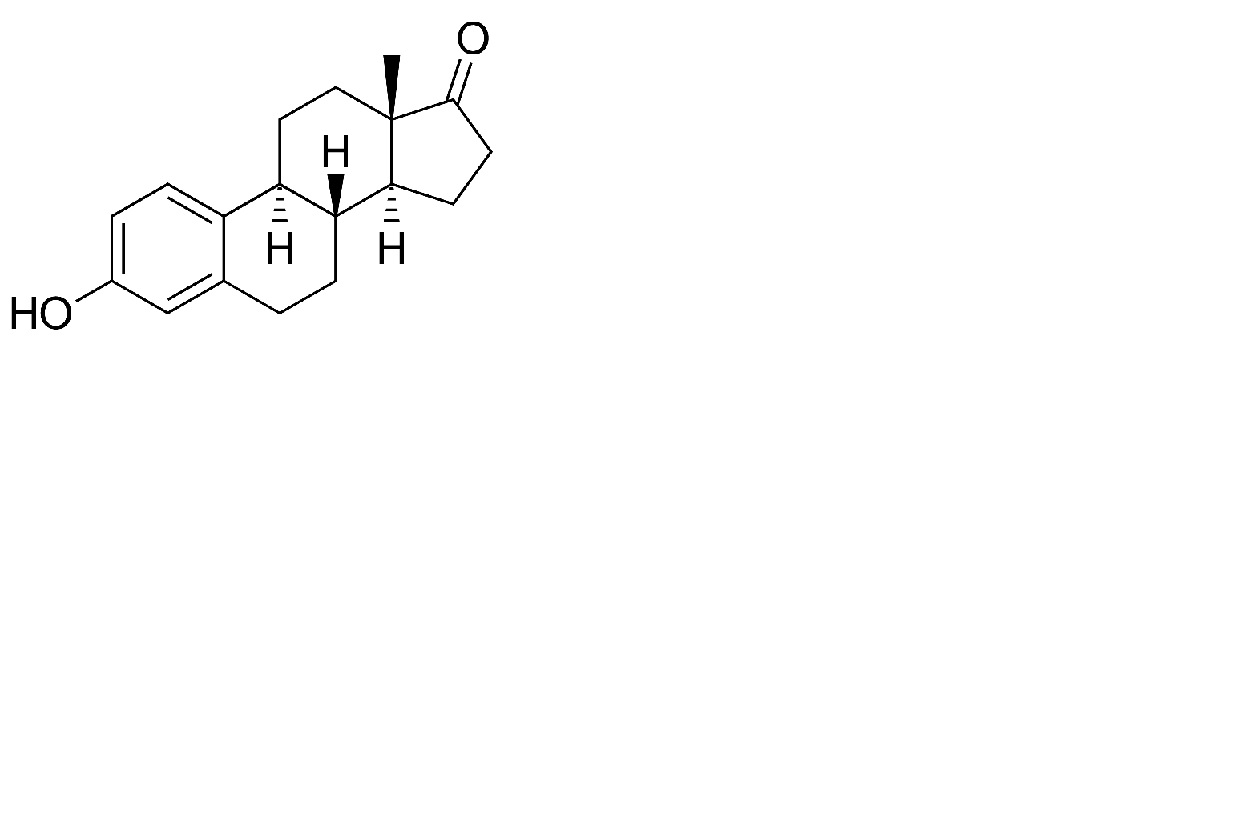
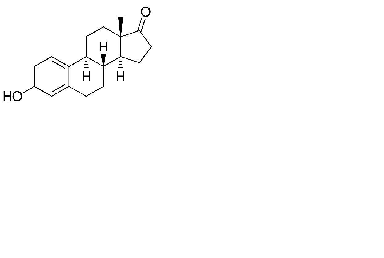
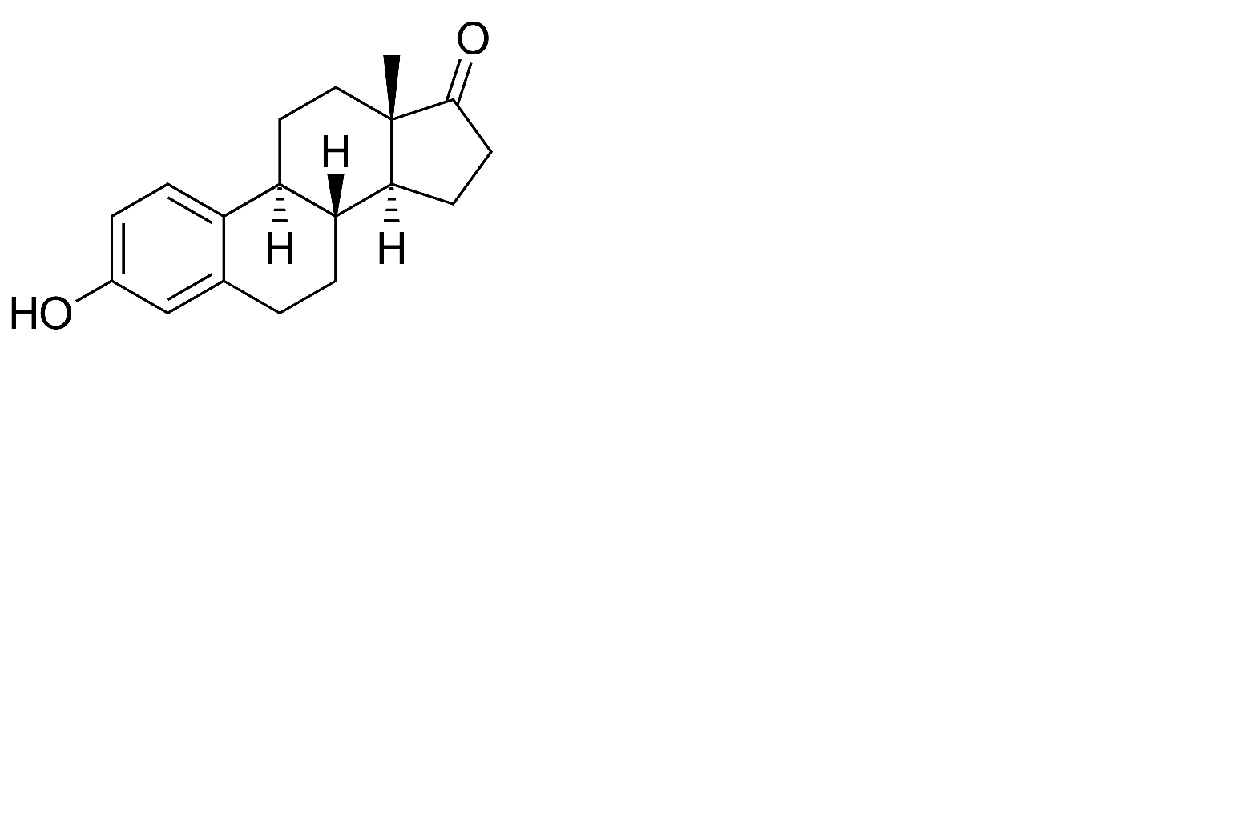
   Kémiai szerkezet   

kenőcs
Stabilitása gyógyszerészeti készítmények   kenőcs   Stabilitása gyógyszerészeti készítmények : Estrone     
Csomagolás Origine segédanyag Hőmérséklet Tárolás A stabilitás időtartama Irodalom
kenőcs tubus por 100 mg
® = ?
etoxidiglikolt 5 g
Phytobase® (Fagron) >>100 g
15-25°C Fénytől védve tartandó
180 Nap
4577

kenőcs tubus por 1 g
® = ?
etoxidiglikolt 5 g
Phytobase® (Fagron) >>100 g
15-25°C Fénytől védve tartandó
180 Nap
4577


  Mentions Légales