zadnja posodobitev :
27/04/2026
Infostab
Seznami
Seznami
Poiščite združljivosti
Tabela združljivosti Y-strani
Viri
raziskovalne skupine
valistab
poster
Povezave
sponzorji
Avtor
Navodilo za uporabo
Newsletter
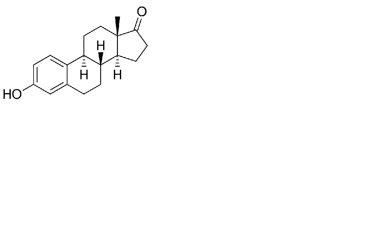
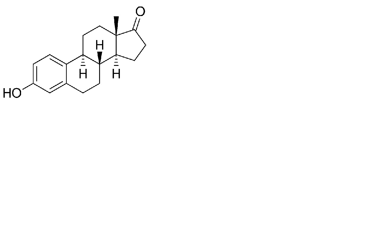
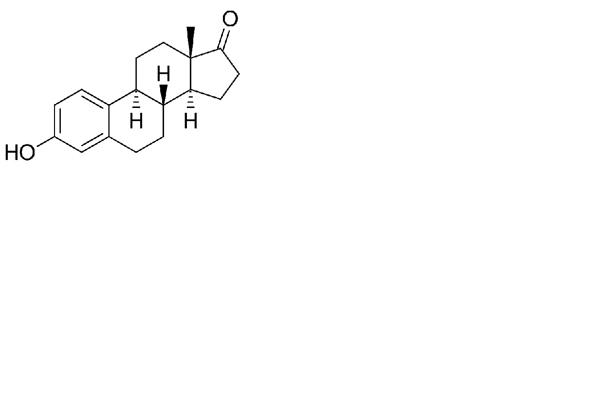
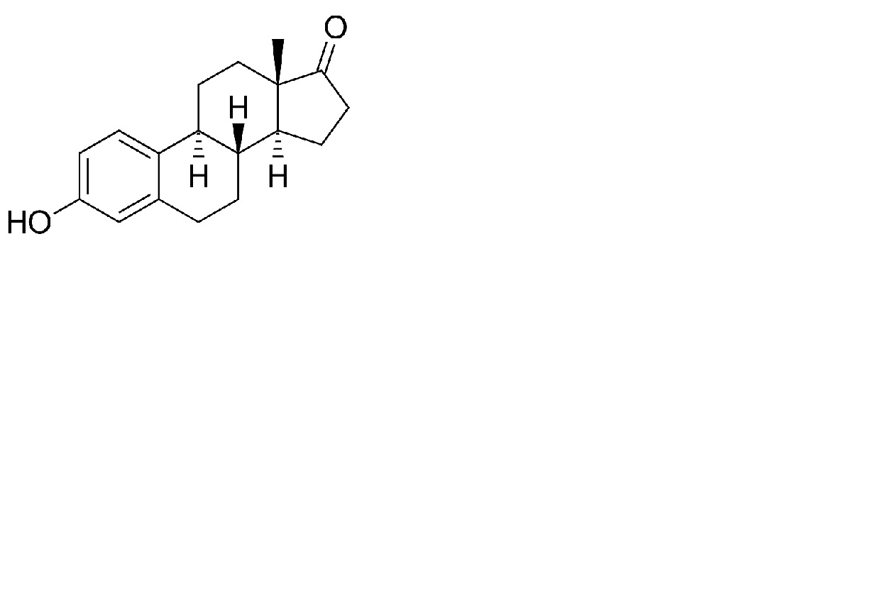
Estrone
Kemična formula
Stabilnost farmacevtskih preparatov : Estrone
100 mg
® = ?
Dietilen glikol
5 g
Phytobase® (Fagron)
>>100 g
15-25°C
180
4577
1 g
® = ?
Dietilen glikol
5 g
Phytobase® (Fagron)
>>100 g
15-25°C
180
4577
Mentions Légales