Poslední aktualizace :
27/04/2026
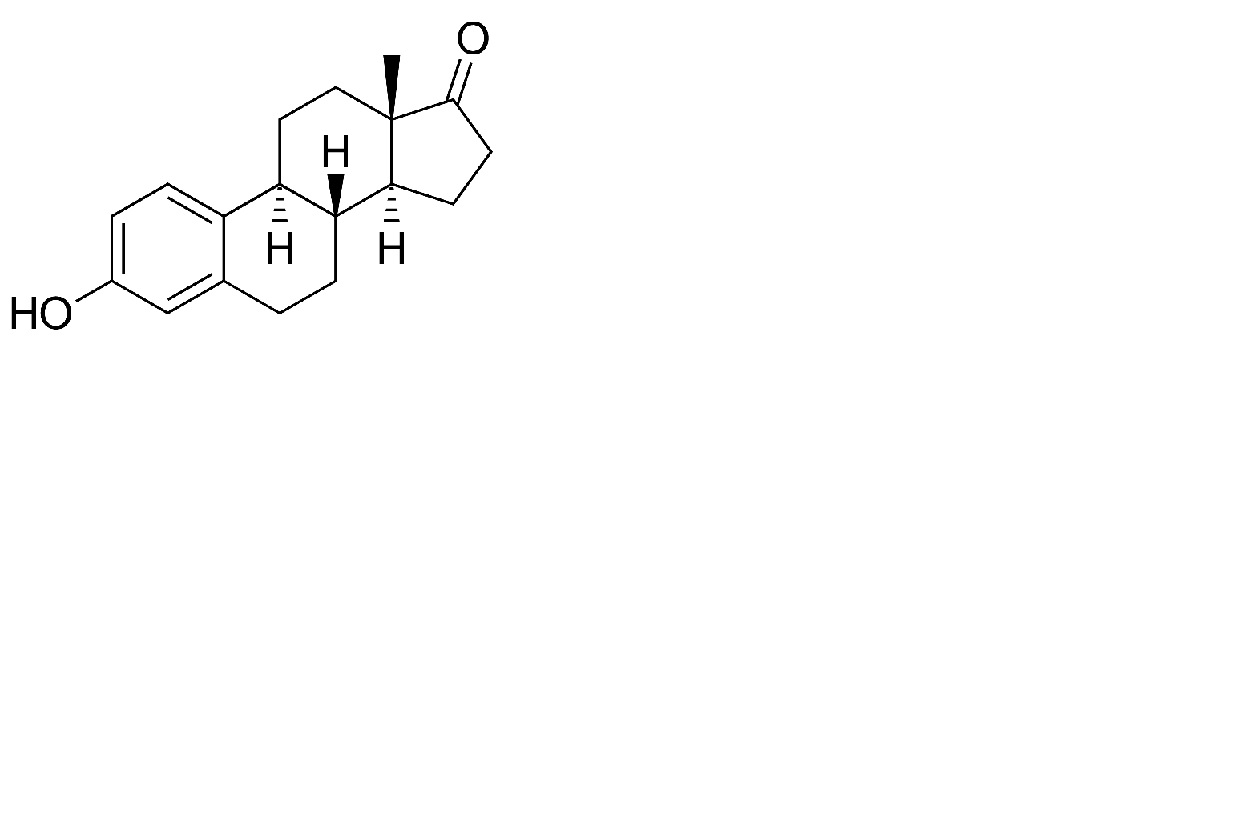
Hormon   Estrone  
Masti
Stabilita farmaceutických přípravků Stabilita směsí Faktory ovlivňující stabilitu Kompatibilita Odkazy pdf
   Chemický vzorec  

Masti
Stabilita farmaceutických přípravků   Masti   Stabilita farmaceutických přípravků : Estrone     
Obal Origine Pomocné látky Teplota Uchovávání Trvání stability Odkazy
Mast hliníkové trubky prášek 100 mg
® = ?
Ethoxydiglycol 5 g
Phytobase® (Fagron) >>100 g
15-25°C Chráněno před světlem
180 Den
4577

Mast hliníkové trubky prášek 1 g
® = ?
Ethoxydiglycol 5 g
Phytobase® (Fagron) >>100 g
15-25°C Chráněno před světlem
180 Den
4577


  Mentions Légales