Son güncelleme :
27/04/2026
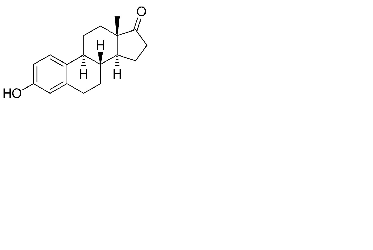
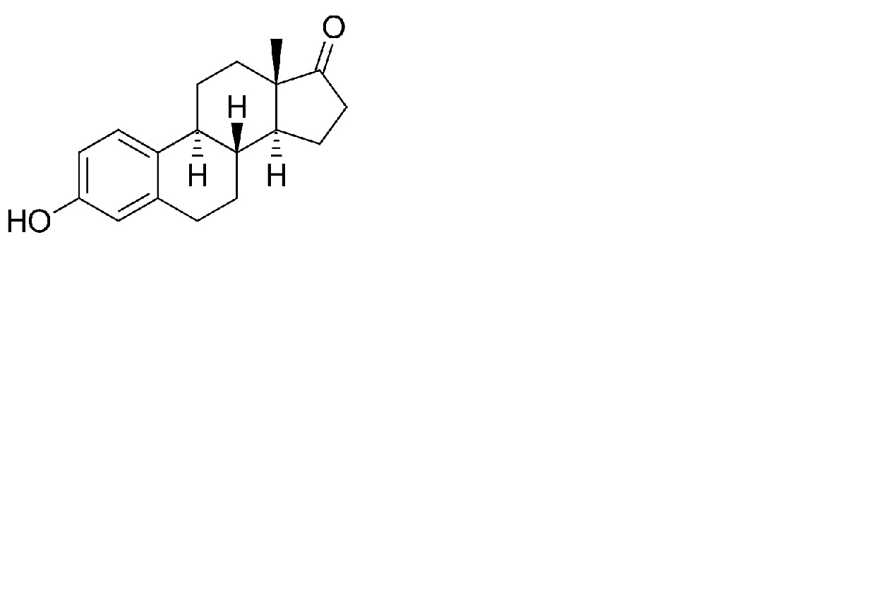
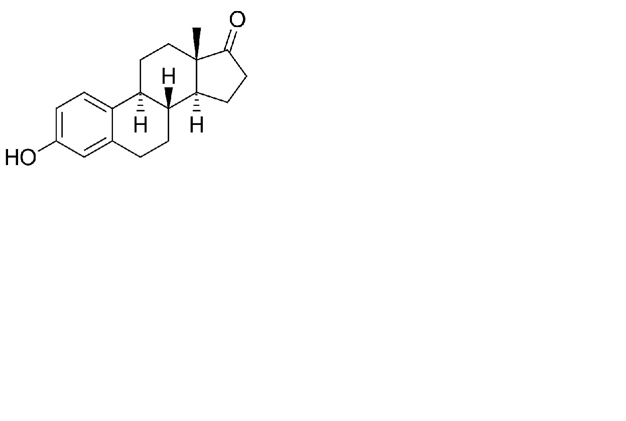
Hormon   Estrone  
Merhem
Farmasötik preparatlar Kararlılığı Karışımlardaki stabilitesi Stabiliteyi etkileyen faktörler Uyumluluk Kaynaklar pdf
   Kimyasal yapı   

Merhem
Farmasötik preparatlar Kararlılığı   Merhem   Farmasötik preparatlar Kararlılığı : Estrone     
Saklama kabı Origine yardımcı madde Isı Saklama    Stabilite süresi Kaynaklar
Merhem tüpü (alüminyum) Toz 100 mg
® = ?
Etoksidiglikol 5 g
Phytobase® (Fagron) >>100 g
15-25°C Işıktan koruyunuz
180 Gün
4577

Merhem tüpü (alüminyum) Toz 1 g
® = ?
Etoksidiglikol 5 g
Phytobase® (Fagron) >>100 g
15-25°C Işıktan koruyunuz
180 Gün
4577


  Mentions Légales