Última actualização :
27/04/2026
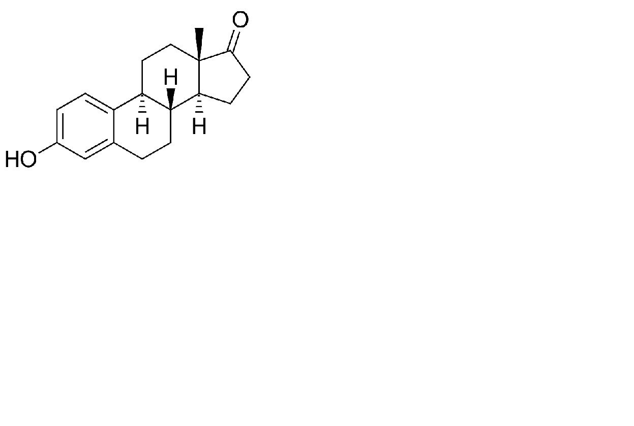
Hormônio   Estrone  
Pomadas
Estabilidade de preparações farmacêuticas Estabilidade em misturas Factores que afectam a sua estabilidade Compatibilidade Bibliografía pdf
   estrutura química  

Pomadas
Estabilidade de preparações farmacêuticas   Pomadas   Estabilidade de preparações farmacêuticas : Estrone     
Embalagem Origine excipiente temperatura conservação Duração da estabilidade Bibliografia
bisnaga de alumínio para pomada pó 100 mg
® = ?
etoxidiglicol 5 g
Phytobase® (Fagron) >>100 g
15-25°C ao abrigo da luz
180 dia
4577

bisnaga de alumínio para pomada pó 1 g
® = ?
etoxidiglicol 5 g
Phytobase® (Fagron) >>100 g
15-25°C ao abrigo da luz
180 dia
4577


  Mentions Légales