Siste oppdatering :
21/01/2026
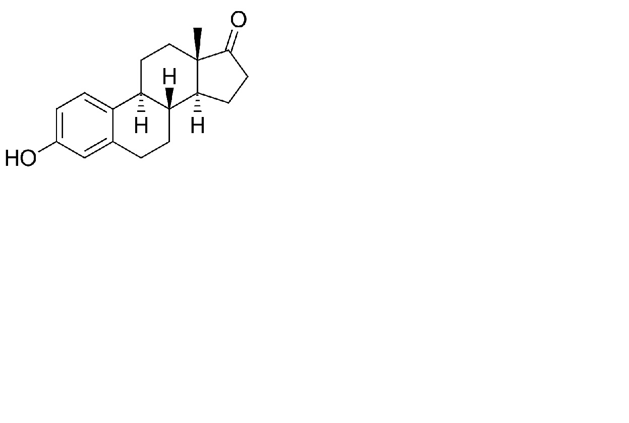
Hormon   Estrone  
Salver
Stabilitet av farmasøytiske preparater Stabilitet i blandinger Faktorer som påvirker stabiliteten Kompatibilitet Referanser pdf
   Kjemisk struktur  

Salver
Stabilitet av farmasøytiske preparater   Salver   Stabilitet av farmasøytiske preparater : Estrone     
Beholder Origine Hjelpestoff Temperatur Oppbevaring Varighet av stabilitet Referanser
Salvetube (aluminium) Pulver 100 mg
® = ?
Etoksydiglykol 5 g
Phytobase® (Fagron) >>100 g
15-25°C Beskyttes mot lys
180 Dag
4577

Salvetube (aluminium) Pulver 1 g
® = ?
Etoksydiglykol 5 g
Phytobase® (Fagron) >>100 g
15-25°C Beskyttes mot lys
180 Dag
4577


  Mentions Légales