Poslední aktualizace :
21/01/2026
Hormonas   Estrone  
Tepalai
Stabilumas farmacinių preparatų Mišinių stabilumas Stabilumą lemiantys veiksniai Suderinamumas Bibliografija pdf
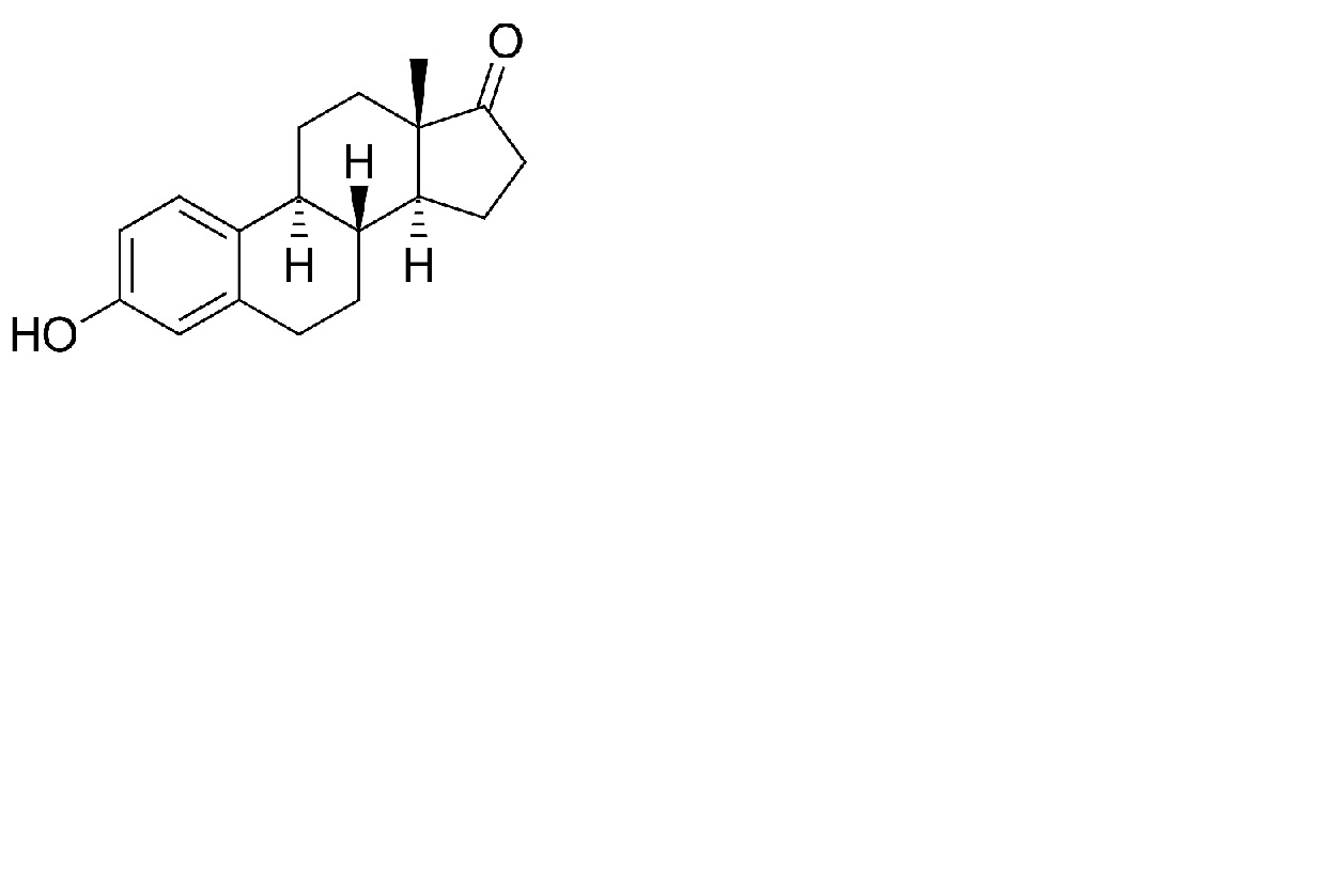
   Cheminė sandara  

Tepalai
Stabilumas farmacinių preparatų   Tepalai   Stabilumas farmacinių preparatų : Estrone     
Pakuotė Origine Ekscipientas Temperatūra Laikymas Stabilumo trukmė Nuorodos
Tepalo tūbelė (aliuminio) Milteliai 100 mg
® = ?
Etoksidiglikolis 5 g
Phytobase® (Fagron) >>100 g
15-25°C Apsaugotas nuo šviesos
180 Diena
4577

Tepalo tūbelė (aliuminio) Milteliai 1 g
® = ?
Etoksidiglikolis 5 g
Phytobase® (Fagron) >>100 g
15-25°C Apsaugotas nuo šviesos
180 Diena
4577


  Mentions Légales