Seneste opdatering :
27/04/2026
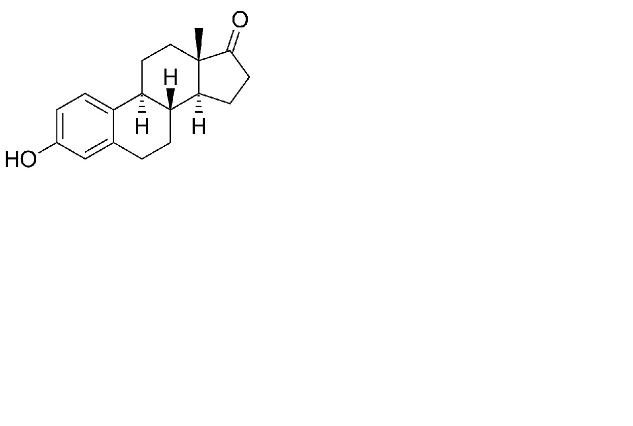
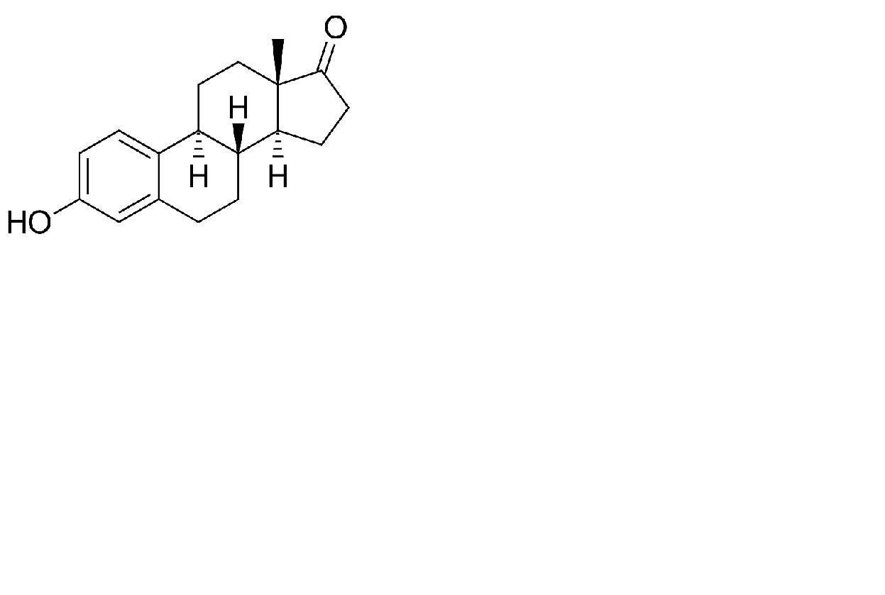
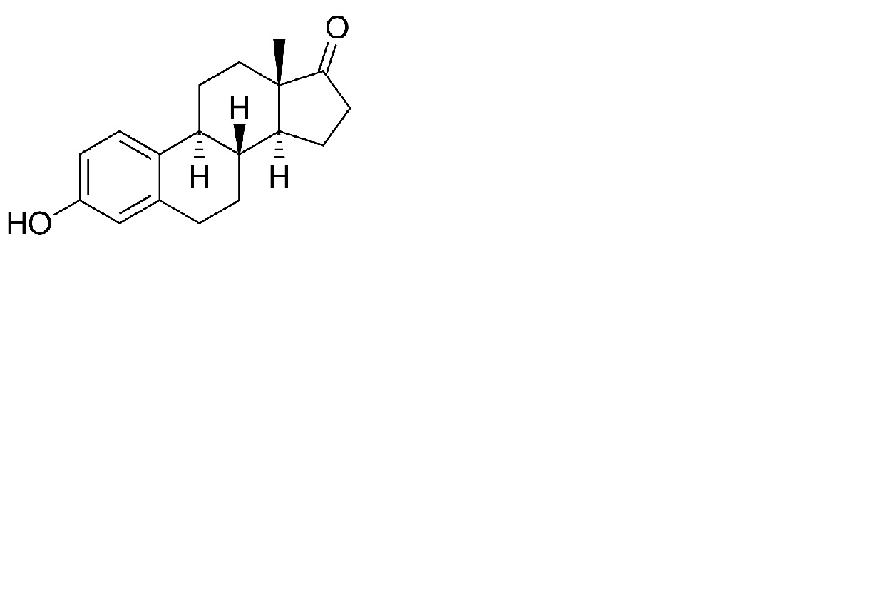
Hormon   Estrone  
Salver
Stabilitet af farmaceutiske tilberedninger Stabilitet i blandinger Faktorer der påvirker stabiliteten Kompatibilitet Bibliografi pdf
   Kemisk struktur  

Salver
Stabilitet af farmaceutiske tilberedninger   Salver   Stabilitet af farmaceutiske tilberedninger : Estrone     
Beholder Origine Hjælpestof Temperatur Konservering Varighed af stabilitet Bibliografi
Salve tube (aluminium) Pulver 100 mg
® = ?
Ethoxydiglycol 5 g
Phytobase® (Fagron) >>100 g
15-25°C Beskyt mod lys
180 Dag
4577

Salve tube (aluminium) Pulver 1 g
® = ?
Ethoxydiglycol 5 g
Phytobase® (Fagron) >>100 g
15-25°C Beskyt mod lys
180 Dag
4577


  Mentions Légales