Останнє оновлення :
27/01/2026
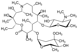
Антибіотик   Azithromycine  
Мазі
ін'єкція
Стабільність фармацевтичних препаратів Стійкість сумішей Фактори, що впливають на стабільність Сумісність Список літератури pdf
   Хімічна структура  

Мазі
Стійкість сумішей   Мазі   Стійкість сумішей : Azithromycine     
7 / 5 000 Résultats de traduction Немає даних

  Mentions Légales