Τελευταία ενημέρωση :
27/04/2026
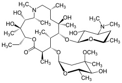
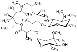
Αντιβιοτικό   Azithromycine  
Αλοιφές
Ενέσιμο
Σταθερότητα και συμβατότητα των φαρμάκων Σταθερότητα σε μίγματα Παράγοντας που επηρεάζει τη σταθερότητα Συμβατότητες Βιβλιογραφία pdf
   χημική δομή  

Αλοιφές
Σταθερότητα σε μίγματα   Αλοιφές   Σταθερότητα σε μίγματα : Azithromycine     
Δεν υπάρχουν πληροφορίες

  Mentions Légales