Poslední aktualizace :
27/01/2026
Antibiotikas   Azithromycine  
Tepalai
Įpurškimas
Stabilumas farmacinių preparatų Mišinių stabilumas Stabilumą lemiantys veiksniai Suderinamumas Bibliografija pdf
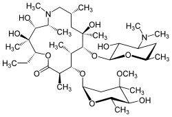
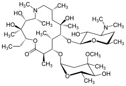
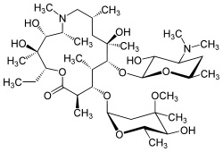
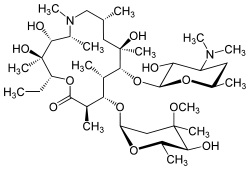
   Cheminė sandara  

Tepalai
Mišinių stabilumas   Tepalai   Mišinių stabilumas : Azithromycine     
Nėra duomenų

  Mentions Légales