Ostatnia aktualizacja :
27/04/2026
Antybiotyk   Azithromycine  
Maści
Injekcje
Stabilność preparatów farmaceutycznych Trwałość w mieszaninie Czynnik wpływający na trwałość Zgodność Bibliografia pdf
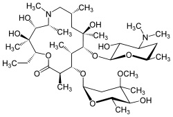
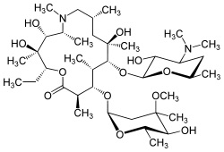
   Struktura chemiczna  

Maści
Trwałość w mieszaninie   Maści   Trwałość w mieszaninie : Azithromycine     
Brak danych

  Mentions Légales