Utolsó frissítés :
27/04/2026
Antibiotikum   Azithromycine  
kenőcs
Injekció
Stabilitása gyógyszerészeti készítmények A keverékek stabilitása Stabilitást befolyásoló tényezők Kompatibilitás Irodalom pdf
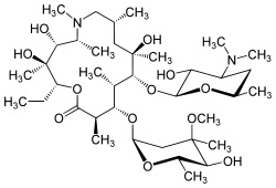
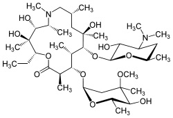
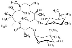
   Kémiai szerkezet   

kenőcs
A keverékek stabilitása   kenőcs   A keverékek stabilitása : Azithromycine     
Hiányzó adat

  Mentions Légales