viimane versioon :
27/01/2026
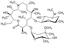
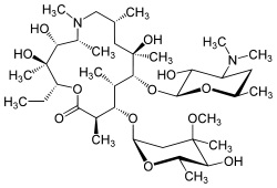
antibiootikum   Azithromycine  
salv
Süsteravim
Stabiilsust ravimpreparaadid Stabiilsust mõjutavad tegurid stabiilsust mõjutavad faktorid Sobimatus Viited pdf
   keemiline struktuur  

salv
Stabiilsust mõjutavad tegurid   salv   Stabiilsust mõjutavad tegurid : Azithromycine     
andmed puuduvad

  Mentions Légales