Ultimo aggiornamento :
27/04/2026
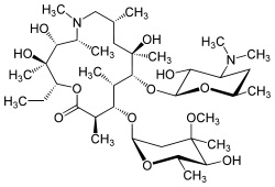
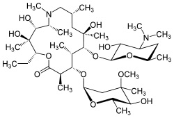
Antibiotico   Azithromycine  
Unguenti
Iniezione
Stabilità dei preparati farmaceutici Stabilità in miscela Fattori che influenzano la stabilità Compatibilità Bibliografia pdf
   Struttura chimica  

Unguenti
Stabilità in miscela   Unguenti   Stabilità in miscela : Azithromycine     
Assenza di dati

  Mentions Légales