Zadnji put ažurirano :
27/01/2026
antibiotik   Azithromycine  
masti
injekcija
Stabilnost farmaceutskih pripravaka Stabilnost mješavine Stabilizacijski faktor Kompatibilnosti Bibliografija pdf
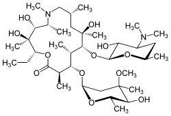
   Kemijska struktura  

masti
Stabilnost mješavine   masti   Stabilnost mješavine : Azithromycine     
bez podataka

  Mentions Légales