Ultimele actualizari :
27/01/2026
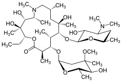
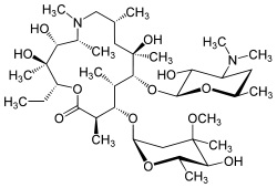
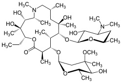
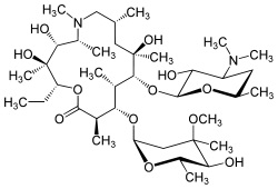
Antibiotic   Azithromycine  
Unguente
Injectabil
Stabilitatea preparatelor farmaceutice Stabilitatea in amestec Factorii care influenteaza stabilitatea Compatibilitate Bibliografie pdf
   Formula chimica  

Unguente
Stabilitatea in amestec   Unguente   Stabilitatea in amestec : Azithromycine     
Absenta de date

  Mentions Légales