Последнее обновление :
27/04/2026
Антибиотик   Tobramycin sulfate  
Аэрозоль
Глазные капли Инъекция Раствор для перорального приёма
Стабильность фармацевтических препаратов Стабильность смесей Факторы, которые влияют на стабильность Совместимость Библиография pdf
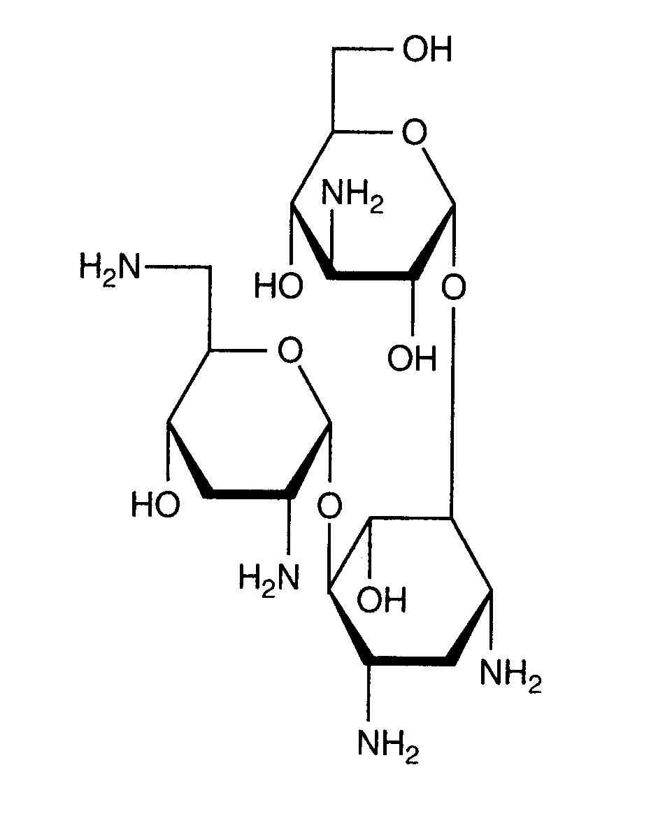
   Химическая структура  

Аэрозоль

Факторы, которые влияют на стабильность   Аэрозоль   Факторы, которые влияют на стабильность : Tobramycin sulfate        
данных нет

  Mentions Légales