Zadnji put ažurirano :
27/04/2026
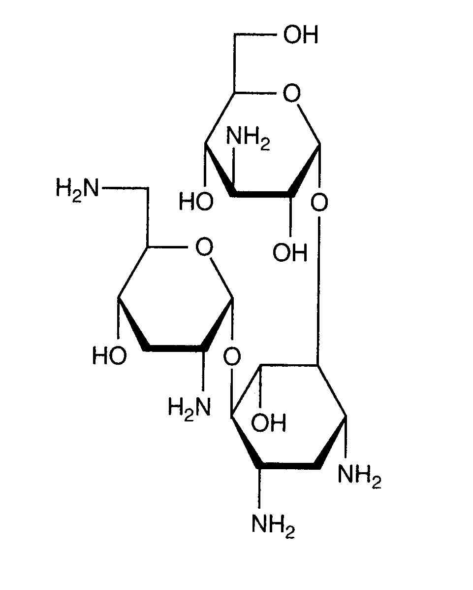
antibiotik   Tobramycin sulfate  
aerosol
injekcija kapi za oko oralna otopina
Stabilnost farmaceutskih pripravaka Stabilnost mješavine Stabilizacijski faktor Kompatibilnosti Bibliografija pdf
   Kemijska struktura  

aerosol

Stabilizacijski faktor   aerosol   Stabilizacijski faktor : Tobramycin sulfate        
bez podataka

  Mentions Légales