Ultimele actualizari :
27/04/2026
Antibiotic   Tobramycin sulfate  
Aerosol
colir Injectabil Soluţie orală
Stabilitatea preparatelor farmaceutice Stabilitatea in amestec Factorii care influenteaza stabilitatea Compatibilitate Bibliografie pdf
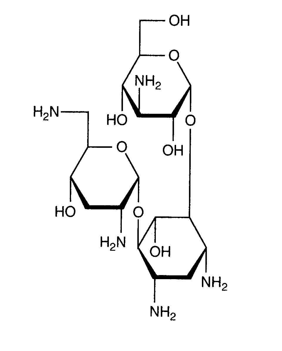
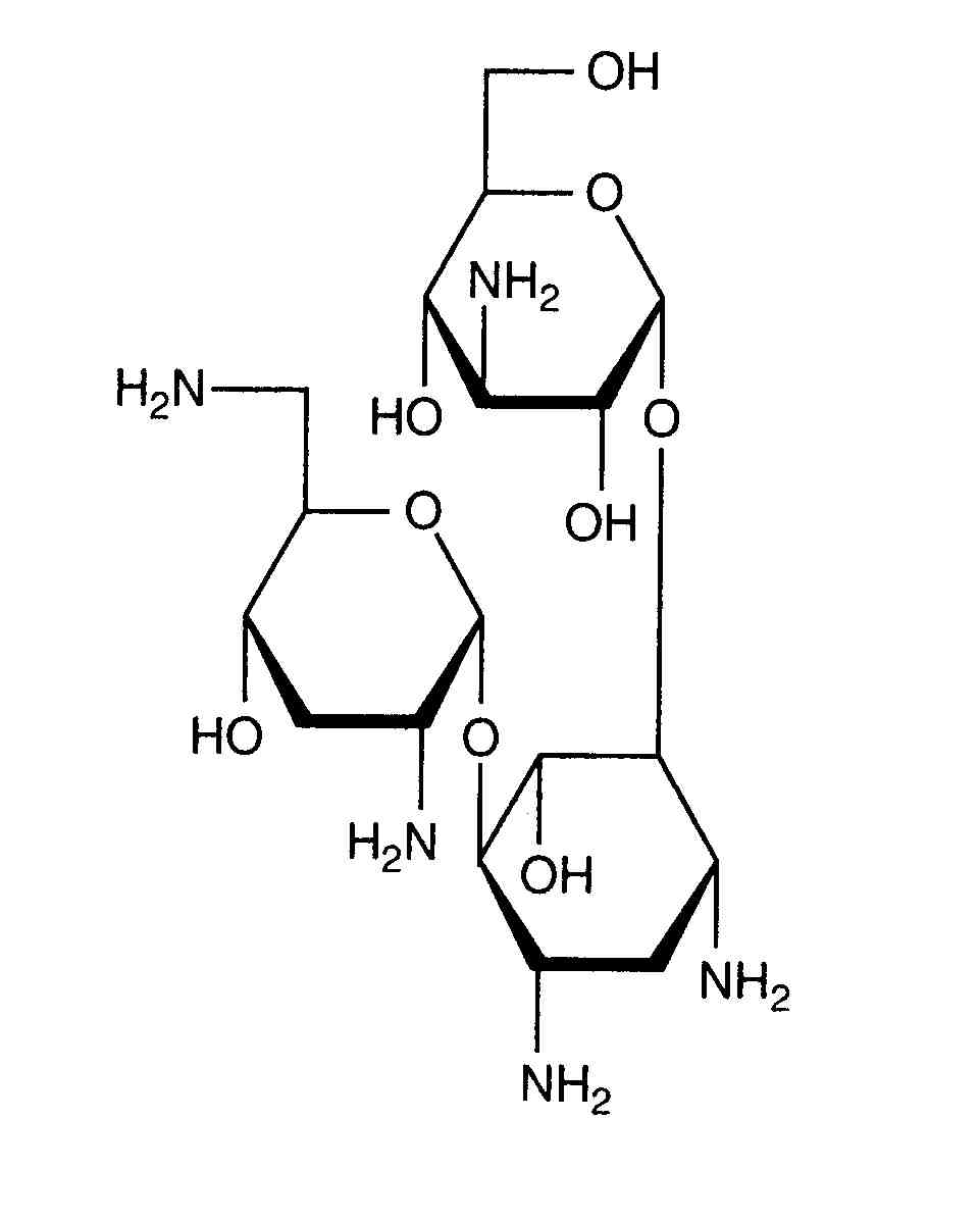
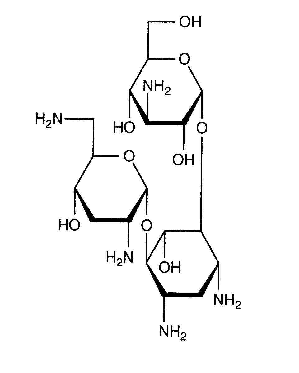
   Formula chimica  

Aerosol

Factorii care influenteaza stabilitatea   Aerosol   Factorii care influenteaza stabilitatea : Tobramycin sulfate        
Absenta de date

  Mentions Légales