Utolsó frissítés :
27/04/2026
Antibiotikum   Tobramycin sulfate  
aeroszol
belsőleges oldat Injekció Szemcsepp
Stabilitása gyógyszerészeti készítmények A keverékek stabilitása Stabilitást befolyásoló tényezők Kompatibilitás Irodalom pdf
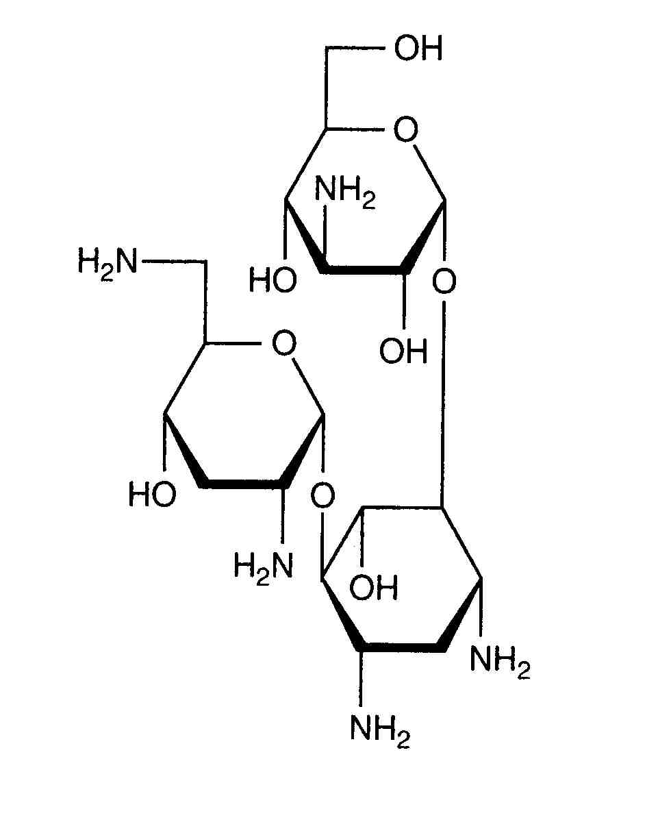
   Kémiai szerkezet   

aeroszol

Stabilitást befolyásoló tényezők   aeroszol   Stabilitást befolyásoló tényezők : Tobramycin sulfate        
Hiányzó adat

  Mentions Légales